杂志:Ecotoxicology And Environmental Safety
影响因子:6.8(2022)
年份:2023
通讯作者:Wenzhu Wu , Guixiang Ji
摘要
帕罗西汀(PRX)是一种广泛存在于自然环境中的常见抗抑郁药物。在过去的几十年里,许多研究都集中在PRX对抑郁症的有益作用上,但其毒性特性和潜在的机制尚不清楚。在这项研究中,斑马鱼胚胎从受精后4到120小时(hpf)暴露于1.0、5.0、10和20 mg/L PRX表明,PRX暴露在斑马鱼胚胎造成不利影响,包括减少体长、血流速度、心脏频率、心输出量和增加爆发活动和心房面积。同时,用Tg(myl7:EGFP)和Tg(lyz:DsRed)转基因斑马鱼检测PRX的心脏毒性和炎症反应。此外,PRX刺激后,心脏发育相关基因(vmhc、amhc、amhc、hand2、nkx2.5、ta、tbx6、tbx16和tbx20)和炎症基因(IL-10、IL-1β、IL-8和TNF-α)表达上调。此外,阿司匹林还被用于缓解PRX诱导的心脏发育障碍。总之,我们的研究证实了PRX诱导斑马鱼幼鱼的炎症相关心脏毒性。同时,本研究表明了PRX对水生生物的毒性作用,并为PRX的环境安全提供了依据。
关键词:帕罗西汀;斑马鱼;心脏毒性;炎症反应
引言
帕罗西汀(PRX)是一种由葛兰素史克公司(GSK)于1991年发明,被广泛使用的抗抑郁药物,近30年来也被用于治疗强迫症(OCD)、社交焦虑症(SAD)。PRX作为一种选择性5-羟色胺再摄取抑制剂(SSRIs),通过阻断5-HT转运体(SERT)来增加5-HT水平,与过去20年广泛使用的三环类药物相比,具有更低的生物毒性。PRX被广泛用于精神疾病,包括抑郁、焦虑障碍和创伤后应激障碍。约97 %的PRX通过尿液排出,因此PRX及其代谢物很容易排入污水处理系统。因此,PRX广泛存在于自然环境中(主要是在地表水中)。
目前,药物残留正在成为水生环境的主要污染途径。加拿大一家制药厂的一项研究显示,直接污水排放的PRX浓度高达3380 ng/L。另一项研究表明,加拿大下游河流(约17公里)污水处理厂的PRX浓度低于0.1 μg/L。意大利北部的一项研究显示,在医院附近、污水处理厂(WWTP)和远离医院的其他废水中的PRX浓度分别为0.067、0.041、0.013 μg/L。
研究了PRX在水生生物中的多种毒性作用。Maria·安东诺普卢等人先前的研究表明,在环境相关浓度(约0.067 μg/L)下,PRX可对藻类物种产生毒性作用,而另一项研究证实,PRX的大水蚤(一种水生模式生物)的EC50约为6.24 mg/L。在啮齿类动物中,有三种类型的5-HT SSRIs(包括PRX)可以显著降低大鼠的心率;在藻类和细胞中也显示了类似的毒性作用。然而,迄今为止,鱼类体内的毒性信息还很少。研究表明,抗抑郁药物的使用与心血管疾病呈正相关。值得注意的是,炎症反应是过去几十年来最显著的毒性作用之一(特别是在急性毒性方面)。因此,深入解读PRX诱导炎症的机制是至关重要的。斑马鱼与人类具有70 %的遗传相似性,被广泛用于水生环境污染物的毒理学评价。此外,我们还利用Tg(myl7:EGFP)和Tg(lyz:DsRed)转基因斑马鱼幼鱼来研究PRX的心脏毒性和炎症反应。在机制上,我们在转基因斑马鱼幼虫中检测了心脏发育相关和炎症基因的表达,阿司匹林靶向通过炎症改善PRX诱导的心脏发育障碍的保护作用强烈支持。
材料和方法
帕罗西汀(PRX)(纯度:97 %,CAS:61869-08-7)购自上海Acmec生化公司,二甲亚砜(DMSO)购自Sigma-Aldrich公司。用DMSO稀释PRX,DMSO浓度低于0.1 %(v:v)。乙酰水杨酸(阿司匹林)购自MACKLIN(纯度:99 %,CAS:50-78-2)。阿司匹林的浓度(10 μM)的选择是基于Wang等人(2021)的研究。TRIzol、反向试剂试剂盒和SYBR-GREEN RT-PCR试剂盒均购自Takala(Takala,大连,中国)。
斑马鱼繁殖和产卵
本研究中使用的转基因斑马鱼Tg(myl7:EGFP)、Tg(lyz:DsRed)和野生型斑马鱼(TU菌株)均来自中国科学院水文生物学研究所。选择4个月大的转基因和野生型斑马鱼提供胚胎。所有实验均按照《中国实验动物护理和使用指南》和南京环境科学研究所《实验动物护理和使用指南》(IACUC-20,200,126)进行。健康的成年斑马鱼每天定期喂食两次盐水虾。水温保持在28 ± 1◦C。照明时间为每天光照14小时,黑暗10小时。实验前一天,将成雄和雌雄斑马鱼分别以2:1的比例放置在饲养箱中过夜。第二天早上6点30分,雄性和雌斑马鱼被刺激交配产卵。采集斑马鱼卵进行后续实验。
暴露情况
为了研究PRX对孵化率、存活率和体长的毒性影响,4 hpf斑马鱼卵分别连续暴露于4种PRX浓度(1.0、5.0、10.0.0和20.0 mg/L)中5天。平行测试了溶剂对照(0.1% DMSO)。每个处理组和对照组有60个卵,分为3个重复。PRX溶液每天都在更新。在实验中,每24 h用立体显微镜(尼康,SMZ18,日本)记录孵化率和死亡率。在72 hpf时,通过EthoVision®XT(Noldus信息技术公司,瓦赫宁根,荷兰)测量体长。
斑马鱼幼鱼运动、心功能指标及血流速度的检测
选择10个斑马鱼胚胎,用PRX或不用PRX处理。然后在24 hpf检测斑马鱼胚胎的胎体运动。使用EthoVision®XT(诺尔德斯信息技术公司,瓦赫宁根,荷兰)在72 hpf评估幼鱼的心跳和血流速度。从1 min视频文件中找到心室舒张末期和心室收缩末期。在图中测量心室长轴(a)和短轴(b)。心室体积采用椭球形公式测量:V = 4 π/3×(a /2)×(b /2)2,心搏出量=V舒张-V收缩期,心输出量=心搏出量×心率,射血分数=V(舒张-收缩期)/V舒张期。在每个实验中,一组放置10只斑马鱼。每个实验至少重复三次,以确保可靠性。
转基因斑马鱼检测
使用立体显微镜(尼康,SMZ18,日本)在PRX和阿司匹林治疗后72h分析转基因斑马鱼Tg(myl7:EGFP)(n=10)(标记心肌细胞)和RFP表达强度(lyz:DsRed)(n=10)(标记中性粒细胞粒细胞)的GFP表达强度。然后使用Image J软件(马里兰州贝塞斯达,马里兰州)测量两只转基因斑马鱼(n = 10)的相对荧光强度。每个实验至少重复三次。
实时RT-PCR(qRT-PCR)
每组收集30只斑马鱼幼鱼,用Trizol按照制造商的说明提取总RNA。总RNA浓度用纳米滴分光光度计检测。然后,应用SYBR Green PCR试剂盒(Takara,大连,中国)进行qPCR。以β-actin作为内参基因,所有数据均采用2−ΔΔcT法进行分析。每个实验至少重复三次。
统计分析
所有实验均重复三次,以保证实验的可靠性。统计学差异采用单因素方差分析和Dunnett多重比较(平均SEM±SEM)。所有统计分析均采用GraphPad Prism软件(8.0版)和SPSS软件(25.0版)进行。P<为0.05,视为差异有统计学意义。
结果
PRX诱导了斑马鱼幼鱼的急性毒性
为了评估PRX对斑马鱼幼鱼的急性毒性,我们检测了PRX处理后的孵化率、存活率和体长。如图1所示,在3dpf时与对照组相比,1、5、10、20 mg/L PRX暴露组的体长分别显著降低了96 %、95 %、92 %和92%(图1A、B),在20mg/L处理组中,96 hpf的存活率显著降低了43.33 %。而在120 hpf中,PRX在10 mg/L组时引起了显著差异,存活率降低了56.67%(图1 C)。在孵化率方面,PRX暴露并没有引起明显的变化(图1 D)。综上所述,PRX急性暴露降低了斑马鱼幼鱼的体长和存活率。因此,PRX诱导了斑马鱼幼鱼的一般发育毒性作用。

图1 PRX对斑马鱼幼鱼体长和存活率的影响。 (A)3dpf斑马鱼的典型体长图。(B)体长统计图(与对照组比较*** P < 0.001,**** P < 0.0001)。(C)存活率后24、48、72、96和120 hpf斑马鱼幼鱼(96 hpf与对照组比较*** P < 0.001,120hpf与对照组比较**P < 0.01,***P<0.0001)。(D) 48、72和96 hpf斑马鱼幼鱼在PRX暴露后的孵化率。每组n=10。
PRX诱导斑马鱼幼鱼心功能障碍
与对照组相比,PRX可分别显著提高1、5、10和20 mg/L PRX暴露组斑马鱼胚胎的24 hpf爆发活性(图2A,C)。然而,5、10和20 mg/ L PRX治疗组的心跳活动和心跳频率降低(图2B、D),且呈剂量依赖性。72 hpf斑马鱼在5、10和20 mg/L PRX处理组的背动脉(DA)血流活动(红色圆圈标记)也分别降低(图2 E)。同时检测每搏量、心输出量和射血分数等指标。如图2f所示,5、10、20 mg/L PRX暴露组的心排血量明显降低。总的来说,PRX暴露增强了斑马鱼幼鱼的胎儿运动,降低了心跳频率、血流活动和心输出量。
由于PRX暴露有助于斑马鱼幼鱼的心跳和血流速度的降低,因此我们检测了PRX引起的心脏毒性。在这里,我们用标记心肌细胞特异性表达基因的转基因斑马鱼Tg(myl7:EGFP)来标记斑马鱼的心脏。暴露72 hpf PRX后,测量斑马鱼心脏心室面积(图3a白色箭头)、心房面积(图3A红色箭头)和动脉球窦(SV-BA)距离。结果显示,与对照组相比,20 mg/L PRX暴露组的心房面积显著增加(约210%)(图2A、B),同样,5、10和20 mg/L PRX治疗组的SV-BA距离显著增加(分别约为119 %、115 %和110%)(图2A、C)。这些结果表明,PRX诱导了斑马鱼幼鱼的心功能障碍。暴露72 hpf PRX后,测量斑马鱼心脏心室面积(图3a白色箭头)、心房面积(图3A红色箭头)和动脉球窦(SV-BA)距离。结果显示,与对照组相比,20 mg/L PRX暴露组的心房面积显著增加(约210%)(图2A、B),同样,5、10和20 mg/L PRX治疗组的SV-BA距离显著增加(分别约为119 %、115 %和110%)(图2A、C)。这些结果表明,PRX诱导了斑马鱼幼鱼的心功能障碍。

图2 PRX暴露对斑马鱼幼鱼突发活性和心功能指数的影响。(A)在24 hpf中,PRX治疗后胎儿运动的典型图。(B) 在3 dpf中,PRX治疗后的典型心跳图。(C) 幼鱼运动统计图。(D )心跳的统计图。(E) 斑马鱼DA血管的流量活动统计图。(F) 每博量量、心输出量和射血分数统计图(与对照组比较*P < 0.05,**P <0.01,*** P <0.001,**** P < 0.0001)。每一组n=10。

图3 PRX暴露诱导了Tg(myl7:EGFP)转基因斑马鱼的心脏毒性。(A) PRX暴露后Tg(myl7:EGFP)转基因斑马鱼的典型形象(V:白色箭头心室;A:红色箭头心房)。(B) 心房面积和心室面积统计图。(C) SV-BA距离统计图(与对照比较*P <0.05,**P 0.01)。每一组n=10。
PRX提高了斑马鱼幼鱼心脏发育和炎症基因水平
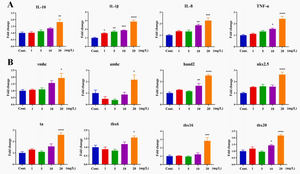
为了进一步分析PRX介导的心脏毒性的潜在毒性机制,我们检测了PRX暴露后的炎症相关基因和心脏发育相关基因。结果显示,炎症相关基因,包括白细胞介素-10(IL-10)、白细胞介素-1-(IL-1β)、白细胞介素-8(IL-8)和肿瘤坏死因子(TNF-α)显著增加(图4A),同时,心脏发育相关基因如心室肌凝蛋白重链(vmhc)、心房肌凝蛋白重链(amhc)、心脏和神经嵴衍生物表达2(手2)、NK2同源盒5(nkx2.5)、近距离同源物a(ta)、T-box 6、T-box 6(tbx6)、T-box16)(tbx16)和T-box 20(tbx20)增加(图4B)。这些结果揭示了PRX的潜在机制,即心脏发育和炎症基因的增加。

图4 PRX对炎症和心脏发育基因表达的影响。(A)PRX处理后炎症相关基因IL-10、IL-1β、IL-8、TNF-α的基因表达。(B) RX处理后心脏发育基因vmhc,amhc,hand2,nkx2.5,ta,tbx6,tbx16和tbx20表达。(与对照组比较*P < 0.05,**P < 0.01,*** P < 0.001,**** P < 0.0001)。
阿司匹林在基因水平上减弱了PRX诱导的炎症反应和心脏发育障碍
为了研究炎症反应在PRX诱导的心脏毒性中的潜在作用,我们使用一个经典的非甾体抗炎药(NSAID)阿司匹林来研究抑制炎症反应是否能部分挽救PRX诱导的心脏毒性。与预期的一样,与PRX组相比,阿司匹林治疗显著降低了IL-10、IL-1β、IL-8和TNF-α等炎症基因的表达(图5A),同时心脏发育相关基因vmhc、amhc、hand2、nkx2.5、ta、tbx6、tbx16和tbx20也明显降低(图5B)。为了支持PRX介导的恶化效应,我们将转基因斑马鱼Tg(myl7:EGFP)和Tg(lyz:DsRed)杂交,以标记斑马鱼幼鱼的心脏炎症。结果表明,和对照组相比20 mg/L PRX暴露后,lyz阳性斑点明显增加,而PRX+阿司匹林组的效果明显减弱。PRX组共定位斑点增加,而PRX+阿司匹林组明显降低。此外,阿司匹林显著减轻了PRX诱导的异常心脏形态(心脏面积和SV-BA距离)。这些结果表明,阿司匹林可改善PRX引起的炎症反应和心脏发育障碍。图6。

图5 阿司匹林对PRX诱导的炎症和心脏发育基因表达的影响。(A)PRX和阿司匹林治疗后炎症相关基因IL-10、IL-1β、IL-8和TNF-α的基因表达。(B)PRX和阿司匹林暴露后心脏发育基因vmhc、amhc、hand2、nkx2.5、ta、PRX 6、tbx16和tbx20(与对照组相比*P<0.05,**P<0.001,***P<0.001,****P<0.0001;与PRX组相比# P <0.005,##P<0.01,####P<0.0001)。

图6 阿司匹林对PRX致心肌肥厚的影响。(A)暴露于myl7和lyz双荧光染色斑马鱼(V:白色箭头心室;A:红色箭头心房)。(B) lyz任意单位和myl7-lyz共氧化斑点的统计图。(C)心房面积和心室面积统计图。(D)SV-BA距离统计图(与对照组比较*P < 0.05,**P <0.01;与PRX组比较# P <0.05)。每一组n=10。
阿司匹林可减弱胎儿运动,恢复PRX引起的心功能障碍
如图7所示,PRX暴露组的24 hpf突发活性显著增加,而阿司匹林处理后的突发活性显著降低(图7 A,C)。此外,PRX治疗组的心跳活动降低,但在阿司匹林后恢复(图7 B)。PRX治疗组心跳频率明显降低(图7 D),而PRX+阿司匹林暴露组心率频率明显升高。在心功能评估方面,PRX组的心排血量明显降低,而阿司匹林治疗可部分挽救(图7 E)。总的来说,阿司匹林暴露恢复了斑马鱼幼鱼运动的增加,而降低了心跳频率和心输出量。

图7 阿司匹林对PRX诱发突发活动和心功能指数紊乱的影响。(A)在24 hpf中,PRX和阿司匹林治疗后胎儿运动的典型特征。(B)在3 dpf中,PRX和阿司匹林治疗后的典型心跳图。(C)胎儿运动统计图。(D)心跳的统计图。(E)心输出量统计图(与对照组比较*P < 0.05,**P <0.01,与PRX组比较# P < 0.05,## P <0.01)。每一组n=10。
讨论
如今,随着生存压力的增加,精神疾病的发病率也在逐年上升。根据世卫组织的《2022年世界精神健康报告》,截至2019年,约有10亿人患有精神健康问题。因此,精神药物被广泛用于精神疾病。SSRIs是治疗抑郁症中使用最广泛的精神类药物。QTc延长和长期使用氟西汀与房颤和心动过缓相关。值得注意的是,PRX正在成为临床治疗中主要的精神药物之一,并逐渐扩散到环境中,从而在水生生态系统中积累。然而,PRX在水生生物中的毒性作用和作用机制尚不清楚。因此,在本研究中,PRX暴露首次通过炎症反应导致斑马鱼幼鱼的心脏毒性。用转基因斑马鱼(分别标记的心肌细胞和中性粒细胞粒细胞)来验证斑马鱼幼鱼的炎症反应和心脏毒性之间的因果关系。为了进一步证明这种偶然的关系,我们使用抗炎药物阿司匹林来减弱炎症相关的毒性作用。与预期的一样,经阿司匹林治疗后,心率、心输出量得到恢复,同时,炎症和心脏发育相关基因显著降低。我们的研究结果得到了Al-Taher等人的研究的有力支持,即甲氨蝶呤诱导的心脏毒性作用,其中TNF-α相关的炎症信号通路在心脏毒性中起关键作用。另一种炎症相关信号通路,toll样受体信号通路在心肌梗死中也起着关键作用。
其他研究也证实了炎症反应在心脏功能中的关键作用。例如,炎症反应对心肌损伤、修复和重塑至关重要。先前的研究也证实了炎症反应在非缺血性心脏病中的关键作用。
心房、心室面积和SV-BA距离是心脏毒性的关键指标。我们的研究表明,PRX组的SV-BA距离显著增加,这与马晋泽等人的研究一致,即吡达滨诱导72 hpf幼虫斑马鱼心脏形态增大,构成了吡达滨心脏毒性的特征特性。与我们的研究结果类似,氯氮平(CLZ),一种非典型的抗精神病药物,可以增加SV-BA的距离,并导致炎症反应。此外,PRX引起的心排血量减少与另一个结果相似,表明心力衰竭斑马鱼模型的心排血量减少。
炎症与冠状动脉疾病、动脉粥样硬化等多种心血管疾病密切相关。夏塔雷拉等提出一氧化氮可损害微血管内皮,其中炎症引发心肌细胞功能障碍。心脏发育障碍也可能与炎症反应有关。在斑马鱼胚胎发生过程中,一些基因在心脏发育中发挥着关键作用。例如,hand 2对早期心肌分化和形态发生至关重要,Nkx2.5与心房间隔有关。在心脏发育方面,amhc编码一个心房心肌细胞特异性表达的基因,而vmhc编码一个心室心肌细胞特异性表达的基因。Tbx6、tbx16和tbx20是含有t-box的基因的成员,该基因在心血管发育和稳态中发挥关键作用。因此,为了进一步探索PRX诱导的分子机制,我们采用qPCR在基因水平上验证其心脏毒性。我们的结果表明,符合心脏表型PRX暴露后,炎症相关基因(TNF-αIL-1βIL-8IL-10)和心脏发育相关基因(vmhc,amhc,hand2,nkx2.5,ta,tbx6,tbx16,tbx20)基因水平显著增加,这些过程可以大大恢复阿司匹林。这些结果与Goswami等人的研究结果一致,其中炎症因子IL-1β、白细胞介素-6(IL-6)和TNF-α介导了心脏炎症,证明了PRX介导的炎症在心脏毒性作用中的重要性。
然而,PRX在心脏毒性反应中复杂的毒性机制并不局限于炎症,其他生物学机制(如氧化应激、细胞凋亡和自噬)也可能参与了PRX的慢性暴露。例如,该研究表明,PRX诱导的人乳腺癌MCF-7细胞凋亡可归因于MAPK依赖的活性氧(ROS)的产生。此外,低剂量的环境暴露可能更能代表人体的体外暴露。因此,进一步探索环境浓度的生物学机制具有必要的意义。由于本研究的急性毒性作用,今后探索PRX的慢性毒性作用仍至关重要。人体内PRX的降解也是深入探索的必要条件。此外,其形态学与基因之间的分子机制和偶然性关系有待进一步研究。最后,还需要采用组学的方法来充分阐明PRX的毒性机制,找到PRX的靶点。因此,开发针对这些信号通路的药物在未来可能更有意义。
原文:Paroxetine induced larva zebrafish cardiotoxicity through inflammation response.
详细网址: https://doi.org/10.1016/j.ecoenv.2023.115096