杂志:Molecular Psychiatry
影响因子:11(2022)
年份:2012
通讯作者:L Bally-Cuif博士或W Norton博士
摘要
背景:注意力缺陷/多动障碍(ADHD)是一种以注意力不集中、多动、冲动增加和情绪失调为特征的神经发育障碍。连锁分析和精细定位确定了嗜乳蛋白3(LPHN3)基因编码的变异,这是一种假定的粘附-g蛋白偶联受体,是ADHD的危险因素。
方法:为了验证LPHN3与ADHD之间的联系,并了解LPHN3在该疾病的病因学中的功能,我们在斑马鱼发育过程中检测了其同源基因lphn3.1。
结果:lphn3.1功能的丧失会导致腹侧间脑多巴胺阳性神经元的减少和错位,并导致过度活跃/冲动运动表型。行为表型可以通过ADHD治疗药物哌甲酯和阿托西汀来挽救。
结论:综上所述,我们的研究结果表明,Lphn3活性的降低与引发adhd样行为有关,并证明了其对大脑多巴胺能回路发育的相关贡献。
关键词:ADHD;多巴胺;多动;冲动;Lphn3;斑马鱼
前言
注意缺陷/多动障碍(ADHD;人类没有。143465)临床异质性神经发育障碍是以注意力不集中、多动和冲动增加/情绪化为特征。多动症代表了最常见的行为儿童和青少年障碍,患病率为3-5%在不同的文化背景下。虽然实质性ADHD的遗传性在许多家庭、双胞胎和双胞胎中都有记载收养研究,估计高达80%,都是全基因组的。到目前为止,方法和候选基因研究都无法可靠地进行识别和描述adhd相关的风险基因。
药理学研究和动物模型的见解一致地暗示了ADHD的神经生物学中神经传递的改变。与多巴胺能(DA)和NA系统相互作用的兴奋剂(例如,哌甲酯(MPH))和去甲肾上腺素(NA)再摄取抑制剂(例如,托莫西汀(ATO)治疗ADHD的有效性,以及抗抑郁药(针对5-HT系统)调节ADHD相关情绪失调的能力已将研究重点放在单胺能信号传导上。遗传关联研究也支持DA在ADHD病因学中的关键作用。然而,神经发育过程中导致ADHD症状的变化尚不清楚。
最近,Arcos-Burgos等人通过对南美遗传分离物的连锁扫描和随后在几个北美和欧洲人群中对4q13.2位点的精细定位,报道了嗜乳蛋白3(LPHN3)基因编码中存在风险单倍型的证据。在西班牙成人ADHD患者队列中的重复研究表明,LPHN3在该疾病终生持续中发挥了作用。此外,LPHN3也被确定为86个物质使用障碍患者的风险基因之一,物质使用障碍是ADHD的常见合并症。LPHN3是一种假定的粘附-g蛋白偶联受体,但其生理作用尚不清楚,内源性配体尚未确定。近年来,斑马鱼已被确立为一种有效的动物模型,用于探索行为的遗传和发育基础。在这项研究中,我们使用斑马鱼幼虫来评估LPHN3的斑马鱼同源物之一Lphn3.1活性的发育和行为功能。我们发现,Lphn3.1活性的降低选择性地影响DA系统的发育,并引发多动/冲动运动。这种行为表型可以通过MPH和ATO这两种有效治疗ADHD的药物来挽救。这些结果明确暗示LPHN3是ADHD运动表型的因素之一,并强调了其在DA神经元发育中的关键作用。
I原位杂交和组织化学方法
根据标准程序对全贴装(全胚胎或解剖脑)和成人脑切片进行原位杂交和抗体标记。
吗啉代注射
Lphn3剪接形态学寡核苷酸(MO)购自GeneTools LLC。Lphn3-MO1用于结合外显子2的剪接给体位点,而Lphn3-mo2则阻断外显子6/内含子6边界的剪接(Supplementary Figure S4H)。对照MO(Lphn3-CO)也有5 bp错配。胚胎在单细胞期注射250 mM MO(5.9ng),并在281C的正常昼夜周期中恢复6天,然后分析行为(见下文)。为了确认MO注射后的剪接缺陷,将20个胚胎快速冷冻在液氮中,并使用TRIzol试剂(Invitrogen,Carlsbad,CA,USA)提取RNA。然后,我们使用RT-PCR(使用Superscriptase II试剂盒,Invitrogen)来观察变形体中lphn3.1剪接的异常,并使用实时PCR(见补充方法)来定量lphn3.1转录本。MOs和引物序列见补充方法。
Lphn3型幼虫运动行为分析
在受精后6天(dpf),通过记录5分钟内游泳的总距离来检查运动活动,使用斑马实验室软件(Videotrack;生命科学,里昂,法国)。将注射后的幼虫置于斑马箱(ViewPoint生命科学公司)内12孔板(BD)的不同孔中,让其适应5分钟后进行记录。采用高速红外摄像机,斑马实验室软件设置检测阈值为11,不活动/小阈值为5,小/大阈值为10,跟踪幼虫5 min,计算游动距离。为了比较运动活动,计算对照和变形幼虫的平均总游动距离。对于夜间测量,将白天已经测量过的动物留在12孔板中,在斑马箱关闭灯后记录5分钟3小时。将所得数据导出到Excel(微软)中进行分析。为了比较野生型和变型幼虫之间的游动距离,使用单因素方差分析计算p值,然后使用未合并SD的配对t检验和根据HOLM调整的p值。所有数据采用Excel(微软)和R Foundation统计软件包进行分析。
药物治疗
所有药物溶液于实验当天新鲜配制于胚胎培养基(含0.01%二甲亚砜)中。药物治疗前,分别给幼虫注射Lphn3-CO或Lphn3-MO1,让其恢复6 d。然后将变形幼虫在药物溶液(1、5、10、15或20 mM ATO(Sigma-Aldrich,圣路易斯,MO,USA)或8、10、12、15或20 mM MPH(Sigma-Aldrich)中孵育1小时,或仅在0.01%二甲亚胺中孵育1小时。如上所述,记录不同处理组在5分钟时间内的游动距离。为了实时PCR分析MPH和ATO处理对lphn3.1表达水平的影响,在制备RNA前,将幼虫用10 mM MPH或1 mM ATO处理1小时。为了观察MPH或ATO处理对DA神经元形成的影响,从第0天(受精后立即),第3天或第6天(1小时)分别用10 mM MPH或1 mM ATO处理幼虫,然后在6 dpf固定。
HPLC分析
为了进行HPLC分析,100只斑马鱼幼虫分别在250µl含有10µM EDTA、抗坏血酸和代谢亚硫酸钠的0.1 M乙酸中均匀化。样品在-20°C保存直至分析。多巴胺(DA)及其代谢物3,4-二羟基苯基乙酸(DOPAC)在Agilent 1100HPLC系统(Agilent Technologies)上进行测量,电化学检测(型号1640;BioRad)按照之前描述的方法进行。色谱柱为EC 250/4.6 NUCLEOSIL 100-3 C-18HPLC柱(Macherey-Nagel),流动相为0.65 mM辛烷磺酸、0.5mM三乙胺、0.1M EDTA和10%甲醇(均购自西格玛),pH 4.12,采用等压洗脱(流量:0.8 ml/min)。柱温设置为30℃,进样量为50µl。分析物的保留时间(min)为:DA 15.5, DOPAC 14.3。使用Chem Station for LC (Version: 2D, Rev. A.10.02;Agilent)使用峰值高度后手动集成。通过对每种分析物([20/40/80ng/ml])注射三种不同浓度的物质混合物获得校准曲线,相关系数>0.999
实时聚合酶链反应
从6日龄幼虫中提取1µg RNA,合成cDNA,进行qPCR定量PCR分析。幼虫在单细胞期注射对照或lphn3.1特异性morpholinos,或在提取RNA前1小时注射1µg ATO或10µg MPH。使用Lightcycler进行定量PCR,采用SYBR绿色检测方案(Roche)。PCR条件为40个循环,95℃,15秒;60℃,10秒;72℃,20秒。在每种情况下,分析以三份重复进行,在morpholino实验中,每个基因型或治疗使用2个生物重复,在药物实验中使用3个生物样本。所有结果分别归一化到管家基因gapdh的表达水平。qPCR结果显示为使用2方法计算的相对表达水平(7)。p <值-ΔΔCT使用t检验计算。
小鼠Lphn3感测RNA的制备
将小鼠Lphn3全长编码区亚克隆到pCS2+的ECOR1位点上,利用mMessage mMachine SP6试剂盒(Ambion)制备sense capping RNA。在幼虫单细胞期,共注射90ng/µl传感RNA和250μM (5.9ng)的morpholino。让幼虫恢复6天,然后分析其行为。
原位杂交
使用两个不同长度的原位探针检测lphn3.1的表达:一个长探针对应于斑马鱼lphn3.1基因的全长(4578bp),一个短探针识别lphn3.1的3 '部分(碱基对2078 - 4578),长度为2500bp。lphn3.2的表达使用500bp探针进行可视化,该探针检测到外显子5至外显子8的编码序列。对6月龄成年斑马鱼大脑100µm明胶/白蛋白包埋切片进行成体脑原位杂交。使用徕卡振动器对大脑进行切片,并在自由浮动切片上进行原位切片。幼虫原位方案之后,在摇晃的水浴中进行杂交步骤。
原位杂交和组织化学方法
斑马鱼:将整个幼虫在4%多聚甲醛(Sigma Aldrich)中固定过夜,然后部分解剖。将幼虫孵育在以下一种一抗中(小鼠抗th, Chemicon MAB318稀释1:1000;大鼠抗5ht, Chemicon MAB 352稀释1:100),在4oC下放置48小时。洗净幼虫,用二抗(马抗小鼠生物素,Vector稀释1:20 00;山羊抗大鼠生https://fanyi.youdao.com/download物素,Jackson稀释1:500)在4℃下孵育过夜。进一步冲洗后,在DAB溶液中显影。所有照片均使用徕卡显微镜拍摄,图像在Photoshop (Adobe)中组装。鼠标:如前所述,对小鼠脑进行原位杂交。简单地说,在0.1 M新鲜制备的4%多聚甲醛冷PBS中固定5分钟后,随后在100%乙醇中储存,16 μm小鼠脑低温恒温切片通过分级系列乙醇(100-70%)转移到2xSSC(柠檬酸钠盐)中,并用0.02 N HCl处理5分钟。用2xSSC洗涤后,用0.1 M三乙醇胺中0.25%的乙酸酐孵育20分钟,再用2xSSC洗涤,并用杂交液(50%去离子化甲酰胺、4xSSC、1x Denhardt’s溶液、10%硫酸葡聚糖和250 μg/ml变性鲑鱼精子DANN)覆盖,60℃下孵育1小时。义和反义特异性地高辛(DIG)标记的Lphn3 cRNA探针(cDNA核苷酸133-809,登录号NM_198702;在pCRII双启动子载体上)生成并在1%琼脂糖凝胶上纯化。切片与杂交缓冲液和dig标记的反义(或正)Lphn3 cRNA(终浓度10-20 ng/μl)在60℃下孵育16-18 h。用2xSSC在室温(RT)、50%甲酰胺在2xSSC中(60o℃)逐级洗涤,然后再用2xSSC (RT)洗涤。为了去除未杂交的单链rna,切片用40μg/ml核糖核酸酶A (RNase A)在500 mM NaCl、10 mM Tris-HCl (pH 8.0)和1 mM EDTA溶液中处理,37℃下处理30分钟。用不含RNase A的相同缓冲液在RT下多次洗涤后,在该缓冲液中60℃孵育30分钟,并用TBS冲洗。cRNA探针采用羊抗dig碱性磷酸酶(aP)偶联抗体(1.5 U/ml)和5-溴-4-氯-3-吲哚磷酸(BCIP)和4-硝基蓝-四氯化铵(NBT)作为aP底物(Roche, Mannheim, Germany)。
吖啶橙染色
根据对活胚胎进行吖啶橙染色,测定细胞死亡水平。简单地说,将24hpf或48hpf的活胚胎在2µg/ml吖啶橙(西格玛奥尔德里奇)中孵育30分钟,然后在胚胎培养基中冲洗几次。胚胎麻醉于0.016%的三卡因(MS-222;西格玛奥尔德里奇)和拍摄使用微缩显微镜(徕卡)。
鱼类品系及处理
成年斑马鱼(Danio rerio)使用标准养鱼方案并按照研究所动物福利准则进行饲养。用于实验的胚胎来自AB/Ekwill品系的野生型鱼的自然产卵,维持在14小时的光照/10小时的黑暗周期。胚胎按照进行分期。
lphn3基因克隆及lphn3蛋白系统发育分析
通过NCBI和Ensembl基因组数据库(Suppl)的tblastn搜索(2)鉴定了亲Latrophilin蛋白序列。表1)。由于我们无法通过这种方法鉴定完整的预测蛋白,我们手动重建蛋白序列,然后进行RT-PCR验证。使用ClustalX软件对蛋白质序列进行比对。在BioEdit (TomHall, Ibis Biosciences)中计算了斑马鱼Lphn3.1、斑马鱼Lphn3.2和人类LPHN3蛋白序列的保守性和一致性百分比。Lphn3.1和LPHN3的第一个内含子不包括在守恒百分比的计算中,因为相应的Lphn3.2序列尚未在斑马鱼中被鉴定。仅使用在所有物种中可以明确识别和对齐的残基(对应于人类LPHN3蛋白的残基90-391)构建系统发育树。使用PhyML构建最大似然系统发育,设置如下:JTT替代模型;4个替代率类别;伽马分布参数估计;不变位点比例的估计(3)。分支支持度通过近似似然比检验(aLRT, SH-like;(4))估计。
功能缺失分析,RT-PCR和qPCR验证
本研究使用的morpholinos序列及RT-PCR和qPCR引物分别为:Lphn3-MO1ATGTGAGTGTATCTCTGTACCTGAA3;Lphn3-MO2 GGTGTCATGTTTTTACTCACTCTTT;Control MO包含5个碱基对错配(小写)ATcTGAcTGTATgTCTcTACCTcAA。
RT-PCR引物:MO1Forward:GTCGAGAGCTGTCGTGTGAG,MO1Reverse1 ATTCGGCCATTGTTCTGTTC,MO1Reverse2AACTTGTCCCTGGTGTGTCC,MO2Forward cccctctctccaccaccactacca,MO2ReverseTCTGTGCTCTCCTGTATGGTG。
Lphn3.1 Exon1qPCRForwardGTGGTCCACACGCCTACTT,Lphn3.1 Exon 2qPCRReverse CAGCGAGTTCGATAGGATA,Lphn3.2Exon3qPCRForward CCCTGTCCTGGGACATACAA,Lphn3.2 Exon4qPCRReverseGGCCTGGAGAGGGTCTTTAC
I斑马鱼LPHN3同源物的分离与敲除
为了阐明LPHN3的内源性功能,我们在斑马鱼中克隆并检测了相应的基因。我们对斑马鱼基因组进行BLAST分析,鉴定出两个与人类LPHN3相似的部分转录本,并通过对来自多个物种的亲Latrophilin家族成员的系统发育分析证实了它们的身份(Supplementary Figure S1)。斑马鱼Lphn3.1与重复的Lphn3.2蛋白同源性为73.7%,相似度为86.2%。Lphn3.1与人类LPHN3的同源性为73.3%,相似度为85.7%;Lphn3.2与人类LPHN3的同源性为76.1%,相似度为89.3%。两个LPHN3同源基因在发育过程中显示出部分重叠的表达谱。在受精后24小时(hpf),lphn3.1以一种与分化神经元相似的模式广泛表达(补充图S2A,D),例如那些被elavl3表达标记的神经元。这种模式在48 mph时保持(补充图S2B,E),而在受精后6天(dpf),lphn3.1的表达变得更加受限,在端脑和间脑的腹侧部分、后脑以及脊柱腹侧区域有强表达(补充图S2C,F)。在24 mph时,在间脑腹侧可以看到lphn3.2的表达(补充图S2J,M),在48 hpf.时,它扩展到也包括端脑和后脑(在表达条纹中,似乎与lphn3.1的表达互补),以及在视神经顶叶和耳囊的边缘(补充图S2K,N)。到6 d.p.f.时,lphn3.2的表达与lphn3.1非常相似,并且在端脑、间脑和后脑的腹侧部分可见(补充图S2L,O).在30 h.p.f.时,lphn3.1在后结核(PT)区域与酪氨酸羟化酶(DA神经元的标记物)共表达(补充图S2X)。为了评估Lphn3在物种间表达的保守性,我们比较了斑马鱼lphn3.1和小鼠成年脑中的Lphn3。lphn3.1的表达沿着远端脑中线,以及在远端脑实质、丘脑前部、水包导管周围灰质、中缝上核、下丘脑下脑室周围核、小脑和内侧纵束核中的较低水平表达(补充图S3A—E)。这种广泛的表达谱与lphn3.1的小鼠同源基因Lphn3相同(补充图S3F—I)。在成年小鼠大脑中,Lphn3在皮层的所有层以及中缝核的背核和中央核、海马和小脑中表达。
这种广泛的发育表达对Lphn3的功能知之甚少。因此,我们选择破坏具有最强胚胎表达的LPHN3同源物lphn3.1的功能。lphn3.1由19个外显子组成(补充图S4B),编码一种与人类LPHN3预测结构相似的蛋白质(补充图S4A)。我们在发育过程中使用两个剪接阻断MO来敲低lphn3.1的活性。Lphn3-MO1靶向外显子2/内含子2边界,Lphn3-MO2靶向外显子6/内含子6边界,lphn3.1和lphn3.2序列差异显著的区域(补充图S4B,H)。注射这两种MOs中的任何一种导致在2个d.p.f.胚胎中缺乏野生型lphn3.1转录本(补充图S4D,E,G)。在后期(6 d.p.f.),lphn3.1的表达恢复(补充图S4F,G)。这表明在发育过程中注射多酚会导致Lphn3.1活性的短暂下调。与对照动物相比,注射morpholino敲低lphn3.1并不会导致发育延迟(补充图S4C),也不会增加细胞凋亡(补充图 S5A—D)。

图S1 脊椎动物LPHN家族蛋白的系统发育分析发现斑马鱼Lphn3.1和Lphn3.2与人类LPHN3同源。使用ClustalX和PhyML软件对序列进行比对。序列的加入编号如表1所示。斑马鱼的Lphn3.1和Lphn3.2与梅塔卡鱼和河豚鱼的LPHN3同源物密切相关。丹尼奥·雷里奥博士 Fr, 红鳍东方鲀; Gg, 红鸟; Hs, 现代人; Md, 短尾负鼠; Mm, 小鼠; Oa, 鸭嘴兽; Ol, 青鳉; Xt, 热带爪蟾。

表1 用于分子系统发育的序列列表。9个不同物种Latrophilin家族3个蛋白(LPHN1, LPHN2, LPHN3)的NCBI和/或Ensembl序列。

图S2 斑马鱼lphn3.1和lphn3.2的胚胎和幼虫表达。(a - c) lphn3.1在整个发育过程中以一种与分化神经元相似的模式表达。与lphn3.1反义原位探针杂交的全头(24hpf, 48hpf和4dpf)和解剖脑(6dpf)的背侧图(sense;a - c)。(D-F)全头颅(24hpf, 48hpf和4dpf)和解剖脑(6dpf)与lphn3.1反义原位探针杂交的侧面图(sense;D-F)。(G-I)全头颅(24hpf, 48hpf和4dpf)和解剖脑(6dpf)与lphn3.1感觉控制原位探针杂交的侧位图。感觉探针未见染色,说明lphn3.1标记的特异性。(J-L) lphn3.2在整个发育过程中均在端脑腹侧和间脑、视顶叶边缘、耳囊和后脑表达。与lphn3.2反义原位探针杂交的全头(24hpf, 48hpf和4dpf)和解剖脑(6dpf)的背侧图(sense;J-L)。(M-O)全头颅(24hpf, 48hpf和4dpf)和解剖脑(6dpf)与lphn3.1反义原位探针杂交的侧面图(sense;M-O)。(P-R)全头颅(24hpf, 48hpf和4dpf)和解剖脑(6dpf)与lphn3.1传感控制原位探针杂交的侧面图。感觉探针未见染色,说明lphn3.1标记的特异性。(S- u)使用短(2.5kb)原位反义探针显示的lphn3.1在3dpf(全安装头)的侧位(S)和背位(T)表达图。(U)顶盖水平3天幼虫头部切片,显示lphn3.1广泛的神经表达。(V,W)下丘脑水平30dpf幼虫脑切片,显示lphn3.1在后结核中表达(V), (W)和抗酪氨酸羟化酶抗体在同一区域标记(W)。(X)图V和图W合并显示lphn3.1和抗酪氨酸羟化酶抗体在PT中共表达。缩写(图A-C和V-X): e, eye;h,后脑;Hy,下丘脑;米,中脑;PT是后结节,t是端脑。

S3 斑马鱼lphn3.1和小鼠Lphn3的成体表达。(A-E)成年斑马鱼全脑冠状切片上lphn3.1的表达。表达见于丘脑前核(A)、小脑体(CCe)、内侧纵束核(MLF)、脑端脑室层以上细胞(PC)、脑室周围灰色区(PGZ)、前视前区(PPa)、脑室周围核(PVN)和脑室上核(SR)。(F-I) Lphn3在成年小鼠脑中的表达。高倍冠状面显示Nissl染色(F,H,G,I)和Lphn3在皮层(F-F”)、中缝背外侧核(G-G”)、海马(H-H”)和小脑(I-I”)中的表达(F ',F ",G ',G ",H ',H ",I ',I ")。鼠标部分的缩写:沟槽区(Aq)、海马区1-3区(CA1-3)、皮层层(CO)、中央核(CS)、齿状回(DG)、中缝背侧分裂(DRD)、中缝背下分裂(DRI)、小脑颗粒层(GL)、齿状回颗粒层(gr)、小脑分子层(ML)、齿状回分子层(MO)、浦肯野细胞层(PCL)、齿状回多态层(PO)、白质(WM)。

图S4 Morpholino注射导致lphn3.1下调。(A) Lphn3.1和Lphn3.2粘附- g蛋白偶联受体的结构(包括一个由自催化GPS位点连接到七个跨膜结构域的大细胞外区域)。使用SMART预测程序识别蛋白质结构域,并与预测的人类蛋白质结构相匹配。箭头表示mo2产生的异常剪接lphn3.1及其对应蛋白与野生型序列的偏离位置。缩写:GPS, G蛋白偶联蛋白水解位点;Horm R,激素结合域;LB,凝集素结合域;Olfactomedin-like domain。(B) lphn3.1的基因组组织。外显子(E)以黑盒子表示,内含子以实线表示。我们使用计算机搜索和RT-PCR证实了在斑马鱼基因组的当前版本(http://www.ensembl.org, Zv9)中没有预测到的额外的lphn3.1 5 '外显子(E1)的存在,并且包含ATG起始密码子。morpholino 1 (MO1)和morpholino 2 (MO2)在外显子/内含子边界的位置分别用红色和绿色表示。蓝色箭头表示用于通过RT-PCR验证morpholino功能缺失的引物的位置(对于MO1,使用了两个嵌套的反向引物,如图B所示)。(C) 6dpf时观察到的野生型、注射Lphn3-CO-和lphn3 -MO1的鱼的背侧视图。注射未引起死亡率增加,6dpf时幼虫形态正常。在Lphn3-MO2突变体中也观察到同样的情况(未显示)。(D-F)不同鱼类种群(WT, Lphn3-CO-, Lphn3-MO1-和lphn3 - mo2注射)在2dpf (D,E)和6dpf (F)的RT-PCR分析。在Lphn3-MO1突变体中,无法检测到lphn3.1转录物,可能是由于2dpf (D)的畸变转录物的非义介导衰变。注射Lphn3-MO2导致lphn3.1剪接异常,并出现3个异常PCR产物(E)。序列分析表明,这些PCR产物编码的突变体lphn3.1蛋白在529位偏离野生型序列(图s4a中箭头所示,与MO2的位置对应)。黑色箭头表示预测的正常lphn3.1波段。(G) Real-time PCR分析lphn3.1在注射Lphn3-CO-和lphn3 - mo1的斑马鱼中48hpf和6dpf的表达情况。相对于gapdh的表达比采用2-ΔΔCT法计算,然后进行t检验。(H)描绘lphn3.1而非lphn3.2的MO1和MO2序列特异性的卡通。Morpholino序列用红色表示,lphn3.2中匹配的碱基对用粗体突出显示。

图S5 lphn3.1特异性morpholino注射液不增加细胞凋亡。(A-D)吖啶橙染色显示,注射Lphn3-MO1在24h (A,B)和48h (C,D)均未引起细胞凋亡增加。
Lphn3功能下调可引发运动多动和游泳爆发
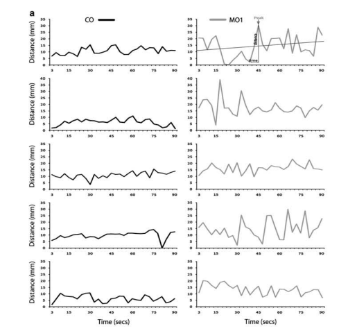
我们首先研究了Lphn3活性降低对斑马鱼幼虫行为的影响。在adhd典型综合征维度的标志中,我们关注的是运动活动,这在该模型系统中最容易评估。我们将Lphn3-MO1或Lphn3-MO2注射到野生型卵中,6天后测量运动。我们观察到,与注射了错配morpholino(Lphn3-CO)的对照胚胎相比,lphn3.1 morphants游的距离显著增加(图1a)。在多个独立实验中,注射MO1和MO2的幼虫都表现出类似的运动增加(补充图S6A,数据未显示),证实了表型的特异性。因此,我们的分析仅限于Lphn3-MO1型幼虫。
lphn3.1 morphants游动距离的增加(图1a,补充图S6A,B和补充视频)可能是这是由于游泳比赛之间休息时间的减少或游泳速度的总体提高。在5分钟的实验中,我们发现注射Lphn3-CO和注射lphn3-mo1的幼虫的休息时间没有显著差异(p=0.5补充图S6C)。相反,在排除休息时间后,注射Lphn3-CO的幼虫平均游泳速度为3.93 mm s-1,而注射lphn3-m01的幼虫平均游泳速度为6.44 mm s-1(Lphn3-CO与Lphn3-MO1之比为0.04;图1 b)。因此,lphn3.1变形体的过度活跃反映了活动期间整体运动速度的增加。
ADHD患者表现出的多动症状可以随着时间的推移而非常稳定,并且也可能在夜间保持。为了确定lphn3.1变形体的活性是否显示出类似的特性,我们首先绘制了在120s的实验中每3秒单个鱼游动的总距离(图1c)。我们用线性方程y=Sx表示得到的单曲线,Lphn3-CO-动物的斜率S为2.8 mm S-1,而Lphn3-MO1动物的斜率S为6.2 mm S-1。这些值彼此之间存在显著差异(线性混合t检验p<0.025),接近对照鱼和变形鱼的平均速度(图1b)。综上所述,这些结果表明,Lphn3.1变异鱼表现出规律且稳定的多动。接下来,为了确定Lphn3-MO1变形体的过度活动是否延伸到睡眠期间,我们记录了夜间游泳的距离。不出所料,Lphn3-CO和Lphn3-MO1种群在夜间明显较少游动。然而,与注射对照动物相比,Lphn3-MO1变形幼虫仍然表现出明显的多动症(图1d)。
adhd相关的冲动性增加,细分为运动和认知成分,被视为在患者中观察到的各种行为障碍背后的基本特征。在绘制90秒内单个动物每3秒游的距离时,变形鱼的曲线比Lphn3-CO幼虫的曲线更陡(图2a,灰色箭头)。Lphn3-MO1鱼的个体曲线平均呈现6.2个峰,而Lphn3-CO鱼的个体曲线平均呈现2.7个峰(Lphn3-CO vs Lphn3-MO1 p<0.001;图2 b)。此外,每个峰游的距离在变形体中增加(图2c),而游这个距离所花费的时间在两个处理组之间没有变化(Lphn3-CO vs Lphn3-MO1=0.2;图2 d)。因此,与对照相比,lphn3.1突变体表现出更多的活动爆发,并且显著加快(Lphn3-MO1为4.79 mm s—1,Lphn3-CO为2.14 mm s—1;图2e),表明其游泳行为的运动冲动性增加。

图1 下调lphn3.1诱导斑马鱼幼鱼过度活跃。(a)注射Lphn3-CO、Lphn3-MO1或Lphn3-MO2的6只d.p.f.幼虫在5 min时间间隔内的平均游动距离。注射MO1-和mo2的幼虫与注射co的幼虫游得同样快,且游得更远。误差条为±s.e.m。Lphn3-CO n=43,Lphn3-MO1 n=42,Lphn3-MO2 n=49。**po0.025,NS=无显著性。(b)5min实验期间注射Lphn3-CO和lphn3-mo1的种群的平均游泳速度,不包括休息时间。对于Lphn3-CO,分析了n47只动物;对于Lphn3-MO1,n=48。Lphn3-CO的动物游泳的平均速度为3.93 mm s—1,而Lphn3-MO1变形体游泳的速度更快,平均速度为6.44 mm s—1。误差条为±s.e.m。*po0.05。(c)注射Lphn3-CO和lphn3-mo1的幼虫游动距离随时间的总和(单位:毫米)。在120秒的实验过程中,每3秒增加一次游动的总距离;每个处理组N=10条鱼;灰线代表Lphn3-MO1,黑线代表Lphn3-CO幼虫。Lphn3-MO1变形鱼持续且稳定地过度活跃。线性混合t检验po0.025。(d)白天(*po0.05)和夜间(**po0.025)注射Lphn3-CO(n=12)和Lphn3-MO1(n=12)的幼虫5 min平均游动距离。对于每个处理组,在两个时间点对相同的动物进行分析。与白天相比,夜间Lphn3-MO1幼虫的活动减少(***po0.001),但夜间测量的Lphn3-MO1幼虫仍显著高于夜间测量的Lphn3-CO(**po0.025)。

图S6 Lphn3-MO1幼虫运动行为的详细分析。(A)注射CO-和mo1的种群中每只动物在5分钟内行走的总距离。五个独立实验的结果(每个实验用一种颜色)组合成一个图表,显示每条鱼的运动活动(用圆点表示;左边是Lphn3-CO,右边是Lphn3-MO1)。注射lphn3 - mo1的幼虫活性显著高于注射Lphn-CO。方差分析后进行t检验p < 0.0001。(B)注射Lphn3-CO-和Lphn3-MO1的鱼在5分钟的时间间隔内游动行为的视频轨迹。红色和绿色的痕迹对应于幼虫的游泳速度。绿色迹线表示慢速游泳(小于10mm/秒),红色迹线表示速度大于10mm/秒。(C)注射Lphn3-CO- (n=47)和Lphn3-MO1 (n=48)的幼虫在5分钟实验期间的总休息时间。我们认为每一个非游泳/运动的插曲都是休息时间。两个种群的休息时间没有显著变化。


图2 注射了morpholino的个体幼虫表现出运动冲动性。(a)Lphn3-MO1变形鱼呈现运动高峰。5条鱼的Lphn3-CO(左)和lphn3-mo1注射的幼虫(右)游出的距离(毫米),在90秒的实验中每3秒绘制一次。在第一个变形图上显示了峰值参数(包括平均游泳距离(水平黑色条),加速时间和峰值高度(峰值顶部和底部之间的差值))。(b)120秒实验期间,Lphn3-CO和lphn3-mo1注射种群的活性峰数。每组N=10。变异幼虫平均发生峰值6.2次,对照鱼平均发生峰值2.7次。***p<0.01。(c)过度活跃的鱼在每个峰中覆盖的距离更大。峰的平均高度(毫米;图a)中显示的Lphn3-MO1幼虫(平均12.86 mm)和Lphn3-CO幼虫(平均6.58 mm)的距离值总结并报告在此图中。ANOVA后进行t检验n=10 ***p<0.001。(d)为变形幼虫和对照幼虫绘制了峰值加速阶段的持续时间(图a中所示的时间值)。Lphn3-MO1注射期(平均持续时间3.53 s)与Lphn3-CO幼虫期(平均持续时间3.90 s)无统计学差异。ANOVA后进行t检验。NS=无显著性。(e)Lphn3-CO和Lphn3-MO1幼虫在高峰期的加速值。峰值加速度(mms -1))对应于n=10只动物在不同峰值期间游泳距离与时间的比值。Lphn3-MO1-的平均峰值加速度为4.76 mms-1,注射lphn3-co的平均峰值加速度为2.14 mms -1。***p<0.01。
Lphn3变形体显示DA系统发育受损
我们接下来的目标是确定神经发育和神经递质信号的任何变化是否与变形体的行为相关。一些证据将DA(DAergic)信号与ADHD的病因联系起来。我们首先用高效液相色谱法测定了整个幼虫体内DA及其代谢物3,4-二羟基苯乙酸的浓度(补充图S7A)。与Lphn3-CO相比,Lphn3-MO1幼虫的DA水平和周转量都没有显著变化(补充图S7),这表明DA信号在Lphn3-MO1中并未全局中断。然而,由于这种分析不能检测到一些DA核形成的细微变化,我们使用抗酪氨酸羟化酶免疫细胞化学检测了3个d.p.f.和6个d.p.f.过度活跃的lphn3.1变异体大脑中DA神经元的形成。我们集中分析了PT的DAergic,其中一些核向大脑皮层的下结构发送投射。尽管斑马鱼系统与人类基底神经节回路的功能关系仍存在争议,斑马鱼PT已被认为与运动控制有关。PT由7个神经元群组成(图3k)。在3d.p.f.,我们检测到lphn3.1 吗啡啉突变体的PT神经元数量整体减少(图3b和d,补充图S7B)。这包括种群1和种群2的减少以及种群3的完全缺失(图3a-d)。到6 d.p.f,过度活跃的Lphn3-MO1注射的幼虫显示出所有PT神经元的严重紊乱(图3e—j),以及DA神经元总数的减少(6 d.p.f Lphn3-CO vs 6 d.p.f Lphn3-MO1 po0.001,补充图S7B)和投影。种群2、3和7几乎完全缺失,而且种群1和4/5严重减少(图3f,h,j)。为了证实这些观察结果,我们分析了第二个DA标记,编码DA转运体的基因slc6a3/dat。与Lphn3-CO相比,Lphn3-MO1 PT中slc6a3阳性神经元的数量在3 d.p.f(补充图S7C,D,G,H)和6 d.p.f(补充图S7E,F,I,J)时均有所减少,证实了lphn3.1功能丧失后PT神经元的修饰。
运动是一种数量性状,Lphn3-CO和Lphn3-MO1幼虫的活动水平在单个种群内都是不同的(补充图S8A),尽管Lphn3-MO1动物的平均种群总是比Lphn3-CO活跃。为了直接研究多动症与DA神经元减少之间的相关性,我们比较了分布在运动水平谱上的个体Lphn3-CO和Lphn3-MO1幼虫的PT。首先根据幼虫的行为表型将其分为三组(补充图S8A)。第1组注射Lphn3-MO1注射的幼虫比任何对照幼虫游得更远。2组和3组幼虫的游动距离分别大于或小于Lphn3-CO幼虫的平均游动距离,均在对照幼虫的活动水平范围内。然后我们进行了抗酪氨酸羟化酶抗体标记,并观察了PT DA神经元修饰的梯度。1组(严重亢进的Lphn3-MO1)幼虫的PT DA神经元有强烈的复位和错位(补充图S8C)。第2组Lphn3-MO1幼虫与第2组Lphn3-CO幼虫相比,PT神经元轻度减少(补充图S8D,E),而第3组Lphn3-MO1动物的PT与第3组Lphn-CO动物基本相似(补充图S8F,G)。第2组和第3组Lphn3-CO幼虫之间没有显著差异(补充图S8D,F)。通过计数细胞数进一步验证了这些观察结果(补充图S8B)。最后,与对照组相比,变形组的DAergic投影逐渐但持续地减少(补充图S8C—G)。我们得出结论,PT DA系统形成的严重损伤确实与多动症有关。然而,第2组Lphn3-MO1幼虫的DA细胞数量轻微但显著减少,所有Lphn3-MO1组的DAergic投射持续减少,这表明PT DA神经元和/或投射的数量可能存在一个阈值,需要减少才能触发多动症。
其他单胺能神经递质,包括NA和5-羟色胺(5-HT)18,44与ADHD有关,我们接下来分析了注射了多活性mo的幼虫对这些系统的发育。在注射Lphn3-CO和lphn3-mo1的幼虫中,在第3 d.p.f.和第6 d.p.f.时,我们发现NA神经元在cœruleus 45位点的数量(补充图S9F)和位置(补充图S9A—D)相似。我们对5-HT神经元进行了类似的观察。在斑马鱼中,5-HT神经元存在于中缝核、下丘脑腹侧和间脑前簇。我们统计了每个簇中这些神经元的数量(补充图S10M),但与对照鱼相比,在数量或形态上没有观察到显著变化(补充图S10A—L)。因此,在候选神经递质通路中,只有DA神经元在lphn3.1变异幼虫中出现紊乱。

图S7 Lphn3-MO1幼虫的DA水平和营业额没有显著变化,但后结核中slc6a3阳性多巴胺能神经元数量减少。(A)高效液相色谱测量显示,与Lphn3-CO相比,Lphn3-MO1中的DA水平或营业额(由DA/DOPAC比值显示)没有差异。经t检验,DA的NS p < 0.58, DA/DOPAC的NS p < 0.65。误差柱均为±SEM。(B) Lphn3-CO和Lphn3-MO1幼虫后结核3dpf (n=4)和6dpf (n=5) th阳性细胞数量的定量。t检验***p < 0.001。(C- j)与Lphn3-CO (A,C,E,G)相比,注射Lphn3-MO1 (B,D,F,H)幼虫后结核中多巴胺能神经元slc6a3原位标记的减少。下面板(E-H)显示上面板(A-D)的高倍图像。在进行slc6a3染色之前,所有分析的变形体都被证实在6dpf处过度活跃。

图S8 后结核th阳性多巴胺能神经元减少与多动症相关。(A)注射CO(黑色)和MO1(红色)的种群在30分钟内单个动物的总行程(每条鱼用一个点表示)。蓝色虚线表示Lphn3-CO种群的平均运动水平和最大运动水平。根据其运动水平将幼虫分为3组,2组和3组幼虫的活动水平分别高于和低于Lphn3-CO动物的平均活动水平,1组幼虫的游动水平高于最活跃的Lphn3-CO动物。(B)各组幼虫后结核th阳性细胞数量定量。将细胞分为吻侧簇(1/2/3)、中间簇(4/5)和尾侧簇(6/7/8)进行计数(见图3k)。2组和3组Lphn3-CO幼虫细胞计数无显著差异。2组CO vs 3组CO,种群1/2/3;NS p < 0.58;第2组CO vs第3组CO,种群4/5;NS p < 0.23;第二组CO vs第三组CO,种群6/7/8;NS p < 0.89。1组幼虫在所有三个集群中th阳性DA神经元都显著减少(这里与2组Lphn3-CO动物相比)。2组Lphn3-MO1幼虫的DA细胞在4/5群体中显著减少,但在1/2/3和6/7/8群体中没有显著减少。与3组Lphn3-CO幼虫相比,3组Lphn3-MO1幼虫在任何种群中DA细胞均未显著减少。(C) 1组Lphn3-MO1幼虫后结核th阳性DA神经元减少。(D,E)第2组Lphn3-MO1幼虫(E)与第2组Lphn3-CO幼虫(D)相比,第2组Lphn3-MO1幼虫(G)与第3组Lphn3-CO幼虫(F)相比,第3组Lphn3-MO1幼虫(G)后结核中th阳性DA神经元无显著差异(尽管突起束的厚度似乎有所减少)。箭头(C-G)表示DA神经元th阳性投射。

图S9 蓝斑的去肾上腺素能神经元在过度活跃的幼虫中表现正常。(A- d)冠状面,背向上显示6天后脑抗酪氨酸羟化酶(TH)抗体染色(A,B)。腹内侧壁(C,D)放大以突出蓝斑(LC)。(C,D)表示th阳性神经元。我们观察到注射Lphn3-CO-(左)和注射lphn3 - mo1的鱼之间没有明显差异。在进行TH染色之前,所有分析的变形体都被证实是过度活跃的。(E) 6dpf斑马鱼大脑示意图。箭头表示方向;竖条表示A-D中各部分的位置。(F)过度活跃和对照注射幼虫蓝斑区NA神经元数量的定量(n=5)。图示:H、下丘脑、LC、蓝斑、MO、延髓、OB、嗅球、P、苍白球、PT、后结核、TeO、视顶盖。

图S10 Lphn3-MO1动物5-HT神经元正常。(A-F)注射Lphn3-CO (A,C,E)和Lphn3-MO1- (B,D,F)的幼虫在3dpf时抗5- ht抗体染色相似。(G-L) 6dpf时注射Lphn3-CO (G,I,K)和Lphn3-MO1- (H,J,L)的幼虫抗5- ht抗体染色相似。在进行5-HT染色之前,所有分析的6dpf变形体都被证实是过度活跃的。所有面板显示背侧视图,前向左。(M) 3dpf时变形幼虫和对照幼虫(n=5)中间脑前簇(Ptd)、下丘脑前腹侧(ant.vH)、下丘脑后腹侧(post.vH)和上叶(SR)中5- ht阳性神经元的数量。图示:vH,下丘脑;Ptd,保护间脑簇;SR,上拉斐尔核。

图3 Lphn3-MO1幼虫PT中DA神经元分布发生改变。(a—j)抗酪氨酸羟化酶(TH)的背侧图抗体染色在3个D.P.F.(a-d)和6 D.P.F.(e-j)。尾部(g,h)和吻侧(i,j)PT区域的高倍视图。DA神经元根据Rink和Wulliman的说法,子群被标记为1-7,43和星号表示减少,缺失或可能错位的种群Lphn3-MO1-injected幼虫。(k,l)后结核th阳性细胞群的卡通背照。Lphn3-CO鱼显示7与野生型幼虫相似的不同种群的中脑DA神经元(k)。注射lphn3-mo1的幼虫减少了(红色星号)后结核TH阳性神经元(l)。
用于治疗ADHD最有效的药物之一是精神兴奋剂MPH,一种类似安非他明的化合物,作用于DA转运体。MPH被认为可以改善注意力和认知,导致患者包括冲动行为在内的心理运动活动的二次减少。为了探讨MPH是否也能挽救lphn3.1型体的过度活跃,我们用药物处理幼虫并测量运动。在第一次剂量反应研究中,我们发现MPH在变形体中产生最大行为改变的浓度为10 mM(补充图S11A)。接下来,我们比较了同一斑马鱼幼虫在相同浓度的药物治疗前后的运动活动。以10 mM MPH处理Lphn3-CO动物减少了它们的休息时间(补充图S11C)(CO vs CO+MPH;p<0.01),但没有导致其活性的显著变化,无论是以距离游泳测量(图4a,黑色条)(CO vs CO+mph;p=0.19)或速度(图4c)(CO vs CO+MPH:p=0.36)。与之形成鲜明对比的是,MPH将Lphn3-MO幼虫的游泳距离缩短至与Lphn3-CO对照动物相似的水平(图4a)(MO1 vs MO1 +MPH:p<0.001;CO vs MO1+mph:p=0.4)。在不改变Lphn3-MO1幼虫休息时间(补充图S11C)的情况下,通过降低其运动速度(图4c;MO1 vs MO1;p<0.05,CO vs MO1+mph;p=0.3)。总之,MPH治疗的变形动物通过将其平均运动速度恢复到未治疗的对照鱼的水平,显示出运动能力的矛盾减少,这让人想起MPH对ADHD患者的影响。
一些患者的ADHD症状也可以通过选择性NA再摄取抑制剂ATO 51-54治疗得到改善,该抑制剂也间接调节能神经传递。在剂量-反应曲线中,我们观察到ATO处理后,注射Lphn3-CO和Lphn3-MO1的幼虫的运动能力普遍下降。然而,ATO对变形鱼的影响通常比对照更强(补充图S11B;Lphn3-CO vs Lphn3 MO1;p<0.001)。与MPH相似,我们在单个实验中重新分析了ATO处理的效果。我们使用了1 mM ATO,这是影响变形动物的最小剂量(补充图S11B)。我们观察到,该处理对对照注射的幼虫没有显著影响(图4d,补充图S11D)。然而,它挽救了lphn3-mo1注射的幼虫的过度活跃,将游动距离减少到与对照鱼相当的水平(图4b;Lphn3-CO vs MO1-mph:p=0.46),类似于在人类患者中看到的效果。与未经处理的Lphn3-CO和Lphn3-MO1动物相比,这种镇静作用与平均游泳速度降低到未处理或处理的对照鱼的水平(图4d)以及变形体的休息时间增加有关(CO vs MO-字形ato:p<0.025;MO1 vs MO1+ATO:p<0.05;补充图S11D)。我们下一个探讨了MPH和ATO治疗降低lphn3.1相关过动的可能机制。以10 mm MPH或1 mm ATO处理野生型幼虫1 h,测定lphn3.1和lphn3.2的表达水平。MPH和ATO对lphn3.1的表达均无影响。相反,MPH轻度但显著地增加了lphn3.2的表达,而ATO处理没有(补充图S12)。我们还分析了adhd治疗药物应用对发育过程中酪氨酸羟化酶阳性PT DA神经元形成的影响。10mMMPH或1mMATO处理野生型幼虫6天(从0 d.p.f;补充图S13B,C,F),3天(从3天开始;补充图S13D,G)或1小时(第6天;补充图S13E,H)对PT中DA神经元的位置和数量没有整体影响(补充图S13I)。综上所述,这些结果表明,MPH和ATO对lphn3.1过度活跃的拯救可能不会发生在基因表达水平上(尽管ATO应用后lphn3.2表达增加),也不会通过整体修改PT中DA神经元的数量来实现。

图S11 哌醋甲酯和托莫西汀处理Lphn3-CO和Lphn3-MO1幼虫的量效曲线。(A)显示哌醋甲酯(MPH)治疗后运动的剂量反应曲线。数值描述了在1小时MPH处理(8 μ M, 10 μ M, 12 μ M, 15 μ M或20 μ M)后游泳距离变化的百分比。Lphn3-CO n=12, Lphn3-MO1 n=12。(B)托莫西汀(ATO)治疗后运动的剂量反应曲线。数值描述了1小时ATO处理(1µM, 5µM, 10µM, 15µM或20µM)后游泳距离变化的百分比。Lphn3-CO n=12, Lphn3-MO1 n=12。(C) Lphn3-CO和Lphn3-MO1 6dpf动物在10µM MPH处理前后的5分钟实验总休息时间(n=12)。10µM MPH处理后,Lphn3-CO的静息时间明显缩短。(D)注射Lphn3-CO-和Lphn3-MO1的幼虫在1µM ATO处理前后的5分钟实验总休息时间(n=12)。Lphn3-MO1+ATO幼虫的休息时间增加。误差条均为±SEM, **p < 0.025, **p < 0.001, NS =无统计学意义

图S12 实时PCR分析ATO和MPH处理后lphn3.1和lphn3.2的表达水平。用1µM ATO或10µM MPH急性处理6天野生型幼虫1小时,可以挽救行为,但不影响lphn3.1或lphn3.2的表达水平。柱状图显示了基因表达水平相对于控制基因gapdh的比率。误差条均为±SEM, lphn3.1对照vs MPH, NS p < 0.7;lphn3.1对照与ATO, NS p < 0.2;lphn3.2对照与MPH, * p < 0.04;lphn3.2对照与ATO NS对照p < 0.1。t检验。

图S13 ATO和MPH处理不改变后结核发育过程中多巴胺能神经元的形成。(A)试验设计方案。胚胎在固定前第0天、第3天或第6天分别用1µM ATO或10µM MPH处理1小时。第6天对所有幼虫进行抗酪氨酸羟化酶抗体染色。(B)未经处理的幼虫后结核中多巴胺能神经元的th标记。(C-E)无论给药时间点如何,1µM ATO处理对多巴胺能神经元发育均无影响。(F-H)无论给药时间点如何,10µM MPH处理对多巴胺能神经元发育均无影响。(I)从第0天开始,对对照组、ato处理组和mph处理组6日龄幼虫后结核th阳性细胞数量进行定量分析。细胞分为吻侧簇(1/2/3)、中间簇(4/5)和尾侧簇(6/7/8)(见图3k)进行计数。各组间DA神经元数量无显著差异。t检验,CO vs ATO 1/2/3 NS p < 0.54;CO vs MPH 1/2/3 NS p < 0.38;CO vs ATO 4/5 NS p < 0.73;CO vs MPH 4/5 NS p < 0.69;CO vs ATO 6/7/8 NS p < 0.86;CO vs MPH 6/7/8 NS p < 0.96。
讨论
在这项研究中,我们分析了lphn3.1的发育和行为功能,lphn3.1是一种斑马鱼同源基因,与人类LPHN3基因同源,通过连锁和精细定位分析在ADHD患者中被发现。这里提出的结果为全基因组基因鉴定研究提供了必要的验证,并最终暗示LPHN3与ADHD的病因学有关。斑马鱼基因组包含两个LPHN3同源基因,lphn3.1和lphn3.2,这是硬骨鱼基因组中额外的全基因组复制的结果。在发育过程中,这两个基因的表达谱似乎部分重叠。因此,在两个基因共表达的大脑区域,lphn3.1的morpholino敲低可能会导致Lphn3总蛋白的亚形态减少(而不是完全丧失功能)。然而,为了证实这一假设,还需要进一步研究同时下调lphn3.1和lphn3.2的影响。通过全基因组方法鉴定的基因包含多态性,这些多态性最有可能导致基因活性的调节,而不是功能的完全丧失。我们的数据表明,携带LPHN3风险的ADHD患者的表型维度haplotype 可能部分是由基因活性的不完全降低引起的。然而,为了直接解决这一问题,未来的实验需要分析ADHD患者中发现的与疾病相关的LPHN3变异。我们的结果有几个重要的含义。首先,他们强调了lphn3.1在发育过程中建立准确的能量信号传导方面的主要和必不可少的作用。在lphn3基因广泛表达的情况下,这种特异性效应是如何实现的,DA系统发育的哪一步主要受Lphn3的控制,以及哪些信号通路依赖于Lphn3的作用,将是未来需要解决的重要问题。在这项研究中,我们分析了lphn3.1的发育和行为功能,lphn3.1是一种斑马鱼同源基因,与人类LPHN3基因同源,通过连锁和精细定位分析在ADHD患者中被发现。这里提出的结果为全基因组基因鉴定研究提供了必要的验证,并最终暗示LPHN3与ADHD的病因学有关。
我们的结果有几个重要的含义。首先,他们强调了lphn3.1在发育过程中建立准确的能量信号传导方面的主要和必不可少的作用。在lphn3基因广泛表达的情况下,这种特异性效应是如何实现的,DA系统发育的哪一步主要受Lphn3的控制,以及哪些信号通路依赖于Lphn3的作用,将是未来需要解决的重要问题。高效液相色谱分析显示,Lphn3-MO1和Lphn3-CO幼虫脑内DA水平和周转量无显著差异。这可能是因为我们在Lphn3-MO1中看到的DA神经元形成的改变仅限于一个离散的神经元簇,其改变可能不足以全局改变DA水平。因此,Lphn3功能与能量信号之间的联系需要以更高的分辨率进行研究,重点关注特定的大脑区域和/或投射。Lphn3的表达在小鼠中也广泛分布,但目前还没有研究Lphn3功能丧失的模型。在秀丽隐杆线虫发育过程中,嗜乳蛋白基因在控制组织极性的建立中也起着重要作用。因此,我们目前的数据提供了嗜乳蛋白家族粘附-g蛋白偶联受体蛋白参与早期发育的进一步证据。此外,由于MO只提供了基因活性的短暂敲低,我们的研究也加强了ADHD主要是一种神经发育障碍的结论。
我们的研究结果还表明,Lphn3功能的降低会引起斑马鱼幼虫的强烈行为改变,其特征与ADHD患者中观察到的多动/冲动表型相似。这些特征包括稳定增加的运动行为、夜间多动和运动冲动性的爆发。lphn3.1突变体对ADHD特异性药物的独特反应也表现为典型的ADHD行为,MPH和ATO都能使突变体恢复到控制活性水平。MPH和ATO拯救lphn3.1变形体运动行为的机制,如ADHD患者,尚不清楚。尽管MPH导致急性治疗后lphn3.2表达水平升高,但ATO治疗并未影响这两种基因的表达(补充图S12)。MPH和ATO处理对发育过程中PT DA神经元的形成也没有明显影响,即使在慢性药物治疗后也是如此(补充图S13)。因此,MPH和ATO不太可能通过全局改变lphn3基因表达水平或通过使DA神经元的发育正常化来改变adhd相关行为。为了更好地了解MPH和ATO处理前后的机制,需要进一步的实验,包括高效液相色谱测量,以更好地了解MPH和ATO修复Lphn3-MO1行为表型的机制。
结论
ADHD患者可能主要表现为注意力缺陷和伴随的认知控制失败,结果是多动症和冲动性增加。在动物模型中评估注意力不集中是很复杂的,我们目前无法在斑马鱼幼虫中进行测量。然而,在大多数ADHD患者中,多动症和冲动性增加的表型表达和我们在这里提出的数据强烈表明,lphn3.1变异幼虫至少是一些ADHD相关运动内表型的有效模型。最后,lphn3.1突变体可能为筛选新的ADHD治疗策略提供一个有用的平台。
基金:Merlin Lange得到了法国教育部奖学金的支持。LBC实验室的工作得到了巴黎神经科学学院(ENP)、ANR(卓越主席ANR-08-cec-001-01)、FRM(项目DPR 20081214424)、PIME项目、斯伦贝谢协会(资助DLS/GP/LB090305)和欧盟项目NeuroXsys(资助协议FP7 2007-2013,no 223262)和ZF-Health(资助协议health-f1-2010-242048)的支持。克劳斯-彼得·莱施实验室的工作得到了德国科学研究委员会(DFG KFO 125,SFB 581和SFB TRR 58)和德国联邦建筑与研究委员会(BMBF 01GV0605)的支持。
本文章原文:分子精神病学(2012),1-9&2012 Macmillan Publishers Limited
详细网址:http://www.nature.com/mp