杂志:ENVIRONMENTAL SCIENCE & TECHNOLOGY
影响因子:11.4(2022)
年份:2022
通讯作者: Ting Xu
通讯作者单位:Key Laboratory of Yangtze River Water Environment, Ministry of Education, College of Environmental Science and Engineering, Tongji University, Shanghai 200092, China.
Shanghai Institute of Pollution Control and Ecological Security, Shanghai 200092, China.
摘要
适当的视觉功能对于收集环境信息和支持中枢神经系统的决策至关重要,因此与野生动物的生存和人类健康密切相关。据报道,多溴二苯醚(PBDEs)会损害斑马鱼的视力发育,而甲状腺激素(TH)信号通路被怀疑是主要的贡献者。本研究选择五溴化PBDE BDE-99,进一步探讨多溴二苯醚对斑马鱼色觉破坏的作用机制。结果表明,BDE- 99在受精后120 h可损害视网膜中的多个光感受器,干扰斑马鱼幼虫在色视引导下的行为。虽然由此产生的光感受器模式的改变与3,3’,5-三碘-L-甲状腺素的作用高度相似,但引入TH受体的拮抗剂并不能完全恢复这种改变,这表明参与了其他潜在的调节因素的参与。通过调节中波长视蛋白的关键诱导剂Six7的表达,我们证明了Six7在BDE-99的破坏中主导了光感受器模式,而不是THs。我们的工作促进了对Six7在光感受器模式形成过程中的调节作用的理解,并提出了多溴二苯醚视觉毒性的新机制。
关键词:BDE-99,视力障碍,光感受器模式,甲状腺激素信号传导,Six7
背景
多溴二苯醚(PBDEs)在其商业产品被禁止之前,一直是世界上使用最广泛的溴化阻燃剂。由于多溴二苯醚具有优越的化学稳定性,因此仍可在人类生活环境中广泛检测到,包括饮用水、室内空气、和日常食物,通过多种暴露途径对人类构成严重的健康风险。其典型的同族物质之一,2、2‘、4、4’、5-五溴化二苯醚(BDE- 99)是商业penta-PBDEs的主要成分(占42−48%),在同族物质中具有最强的生物积累能力。尽管BDE- 99在地表水中普遍较低,但在某些特定情况下,如城市污水系统,其浓度可达到μg/L的水平。PBDE暴露与糖尿病和肥胖等代谢性疾病以及人群中阅读能力下降、认知和记忆能力下降等神经发育缺陷密切相关。人们普遍认为,多溴二苯醚的毒性机制主要是与甲状腺激素(THs)类似,不仅因为它们的结构相似,而且还因为它们共享的代谢酶脱碘酶。
视力障碍是多溴二苯醚的一种标志性的新兴毒理学效应。斑马鱼由于其在幼虫阶段成熟的四色视觉,是此类研究的典型模式生物。BDE-47(四溴化)、BDE-209(脱溴化)、DE-71(商业混合物)及其代谢物可诱导斑马鱼幼虫视网膜形态变化,光感受器细胞是视网膜细胞中受影响最大的部分。视网膜(视蛋白)和晶状体(晶体蛋白)中的核心功能蛋白也可能是BDE-47和BDE-209的靶点。据报道,BDE-47和DE-71可以改变斑马鱼幼鱼的视觉引导行为,包括光动力学反应(OKRs)、视动反应和逃避反应。一个有趣的现象是,BDE-47暴露显著降低了斑马鱼幼虫对蓝光刺激的反应,这表明幼虫的色觉也受到了干扰。视觉功能受损往往会导致无法觅食和逃避野生动物的危险,因此降低个体的存活率和影响种群的连续性。对于人类来说,视觉功能障碍和病理除了有不方便的行为外,还与一些中枢神经系统的神经疾病,包括药物成瘾和神经退行性变有因果关系。在阿尔茨海默病患者中,视力退化和色觉障碍的普遍症状早于记忆丧失和残疾。
在显微镜下,色觉的建立依赖于不同光感受器的编程模式,其特征通常是视觉视蛋白的不同表达。巧合的是,THs及其受体(通过TH信号)是眼睛发育和光感受器模式调节器的关键参与者。一般来说,TH信号的作用可以明显地诱导锥体视蛋白分化为最长波长(LW)敏感的亚型。在TH受体β(THRβ)缺陷的人视网膜类器官中,LW视蛋白几乎没有分化;而短波长(SW)和中波长(MW)视蛋白被外源性3、3‘,5-Triiodo-L-甲状腺素(T3)治疗抑制。在T3处理的和甲状旁腺斑马鱼幼虫中也观察到类似的结果。对于大多数没有红色锥体的哺乳动物来说,比如老鼠,T3主导着绿色锥体的发育。然而,除了TH信号外,光感受器模式还由复杂的调节因子协调。例如,正弦眼同源盒(Six)家族的转录因子深入参与了视觉系统的发育,其中一个成员射线发现特异性six 7在硬骨鱼的MW锥分化中发挥了重要作用。敲除six 7基因完全消除了MW视蛋白的表达,但上调了斑马鱼幼虫视网膜中LW视蛋白的表达。Mackin等报道,外源性T3处理可显著抑制six 7的表达,这表明TH信号与six 7之间的潜在关系。全面了解多溴二苯醚和其他环境污染物的视力损害也需要考虑这些潜在的因素。
本研究选择BDE-99研究多溴二苯醚对斑马鱼幼虫视觉系统的潜在影响,发现其可诱导视蛋白opn1lw1,但抑制所有其他锥体视蛋白。通过干预相关调控因素,我们发现BDE-99对幼虫光感受器模式的干扰主要是通过转录因子six 7而不是TH信号,这为多乙二苯醚诱导的视觉障碍和TH模拟在多乙二苯醚毒性中的作用提供了新的线索。
材料和方法
化学品BDE-99(99.1%,CAS#60348-60-9)购自Accusparel(美国)。TR拮抗剂1(TRA1,98.89%,CAS#500794-88-7)和T3(≥97%,CAS#5817-39-0)分别来自med化学快递公司(瑞典)和Yuanye生物技术公司(中国)。二甲基亚砜(DMSO,≥99.5%,CAS#67-68-5)购自Sigma-Aldrich(美国)。
斑马鱼(AB菌株)来自上海FishBio有限公司(中国),并保持如前所述。产卵后,将大约50个正常发育的胚胎移植出去,并在3小时内暴露在一个60毫米的玻璃培养皿中。根据初步实验结果,测定BDE-99的最终暴露浓度分别为5和50μg/L(含0.01% DMSO和10%无菌Hanks缓冲溶液)。暴露时间为受精后3h(hpf)至120 hpf,每天记录胚胎的死亡率和畸形率。T3和TRA1暴露溶液的制备和暴露设计与BDE-99相同。T3(4和20 nM)和TRA1(50 nM)的剂量参照之前的研究和我们的初步实验。所有暴露处理均重复3次。
BDE-99浓度的定量分析
暴露浓度的量化是基于我们之前的研究进行了修改。加入BDE-100(CAS#189084-64-8,美国)作为内标。采用正己烷进行液体−液体萃取,提取BDE-99和BDE-100。然后将提取物在温和的氮流下浓缩,并用异辛烷进行重组。在检测前将BDE-47(CAS#5436-43-1,Accuspem,US)加入到重组溶液中,以校准注入引起的误差。使用安捷伦7890A-HP-5毛细管柱(安捷伦技术,美国)分离不同的多溴二苯醚,并使用μECD检测器进行测定。HP-5柱的初始温度为150°C,持续1 min,20°C/min上升到200°C,5°C/min上升到250°C,最后保持12 min。注射器和探测器的温度分别为260°C和290°C。在添加浓度为5 μg/L时,BDE-99的回收率为88.7%(相对标准差为6.5%)。BDE-99的检测限(LOD)定义为信噪比的3倍,LOD值为0.2 μg/L。
视觉引导的行为测试
趋光性试验是根据以往的研究进行的。OKR测试和运动测试分别在VisioBox平台(法国视点)和Zebrabox平台(法国视点)上进行,如前所述。
RNA提取和qRT-PCR分析
暴露处理后,用TRIzol试剂(Invitrogen,US)提取约30只幼虫的总RNA,然后按照制造商的说明使用高容量cDNA逆转录试剂盒(ABI,US)合成cDNA。使用PowerUp SYBR GreenMix(应用生物系统,美国)在7500实时PCR系统(应用生物系统,美国)上进行了定量逆转录酶聚合酶链反应(qRT-PCR)。目的基因包括视觉感知和TH信号通路相关基因,管家基因为β-actin。采用2−ΔΔCT方法来量化基因的相对转录水平。每个治疗组分别进行了3个独立的实验。
冷冻切片的制备及H&E染色
暴露结束时,用4%多聚甲醛在4°C下固定幼虫过夜。然后,将幼虫在分级的蔗糖(10、15和20%)中脱水,最后在20%的蔗糖中浸泡过夜。样品用O.C.T化合物(服务生物,中国)包埋,然后使用冷冻星NX50(赛默飞世尔科学公司,美国)以10 μm的厚度进行冷冻和切片。冷冻切片用苏木精染色8 min,伊红染色3 min,然后用乙醇洗涤。这些图像是使用奥林巴斯CX33生物显微镜(奥林巴斯,日本)拍摄的。使用ImageJ软件计算视网膜不同层的尺寸。
TUNEL染色
简单地说,使用DeadEnd荧光TUNEL系统(Promega,美国,美国)进行TUNEL染色。染色后,冷冻切片用4‘,6-二胺氨基-2-苯乙烯基(Beyotime,中国)覆盖。使用奥林巴斯IX71荧光显微镜(奥林巴斯,日本)捕获图像,并使用ImageJ对图像中的荧光区域进行量化。
对斑马鱼中six7表达的调节
分别通过Crispr/Cas9系统和重建的质粒载体建立了six7敲除和过表达的斑马鱼模型。关于这些突变斑马鱼所使用的sgRNA和质粒的详细信息在支持信息附录,实验部分中提供。将重建质粒载体合成的sgRNA和6个7mRNA显微注射到野生型(WT)斑马鱼胚胎中,进入单细胞阶段。后续的实验都按照WT模型进行了实验。
分子对接
基于NCBI参考序列(NP_571415.1),利用瑞士在线建模服务器(http://swissmodel.expasy.org/)构建了THRβ [ Danio rerio]的同源建模,并进行了优化。然后使用AutoDock Vina进行分子对接,预测三种成分[BDE-99、T3和全反式维甲酸(RA)]与THRβ的结合模式和亲和力,设置如前所述。
统计分析
所有数据均以均值的平均±标准误差(SEM)表示。采用单因素方差分析,然后采用事后Dunnett的T3多重比较检验来确定多个数据集之间的统计学意义(SPSS 22.0,IBM,US)。p值<为0.05被认为为差异有统计学意义。
BDE- 99的暴露浓度和急性毒性
暴露5天后,5μg/L(实际浓度为4.08 ± 0.15 μg/L)组和50μg/L(实际浓度为43.1414±0.84μg/L)组BDE-99暴露浓度分别下降至标称浓度的14.5%和12.3%。相比之下,在无胚胎的玻璃培养皿中,BDE-99的浓度没有明显的变化。结果显示,5和50 μg/L BDE-99均未导致斑马鱼幼虫的明显死亡或畸形。
BDE-99使斑马鱼幼虫的视觉功能受损
虽然BDE-99暴露后总游泳距离没有变化(图1A,B),但在50 μg/L BDE-99组中,斑马鱼幼虫的趋光行为受到显著抑制(p=0.027)(图1C)。趋光性是斑马鱼幼鱼在受到光刺激时的一种先天行为。综合结果表明,斑马鱼具有光感应受损的功能和完整的运动能力。OKR是斑马鱼的注视稳定行为,已被广泛用于模型生物中隐性视觉缺陷的筛选。因此,我们采用经典的OKR检验进一步评估了斑马鱼幼虫的视觉功能。暴露于对照、5和50 μg/L BDE-99的幼虫平均每分钟眼跳分别为11 ± 2.5、8.5 ± 1.8和6.8±2.0(图1D)。BDE-99导致眼跳运动减少,证实了斑马鱼幼虫的视觉功能明显受损。

图1 BDE-99对斑马鱼幼虫视觉引导行为的影响。(A)运动试验中斑马鱼幼虫每分钟游动距离。阴影表示SEM。(B)每10 min光/暗期的总游泳距离。(C)去除隔板5或10 min后,斑马鱼幼虫从黑暗室游到光室的百分比。(D)旋转条纹鼓刺激斑马鱼幼虫的眼跳运动。箱形图显示了第25、第50和第75个百分位数的移动。虚线表示平均值。误差条用SEM表示。*表示p < 0.05,**表示p < 0.01。
BDE-99诱导视网膜光感受器损伤
视觉引导行为的改变可能暗示了幼虫视觉系统的结构损伤。为了验证这一假设,我们准备并观察了幼虫视网膜的组织学切片。在5 μg/L BDE-99处理组的视网膜中没有观察到明显的形态学变化,而在暴露在50 μg/L BDE-99组的切片中,发现光感受器细胞层的厚度显著下降(p=0.049)(图2A,B)。采用TUNEL染色法检测幼虫视网膜细胞凋亡情况。两种治疗组视网膜中均可见TUNEL阳性细胞,凋亡区域呈浓度依赖性的显著升高,而对照组很少发生凋亡(图2C,D)。在斑马鱼的视网膜中有几个细胞亚类,包括感光细胞、双极细胞、神经节细胞、小胶质细胞和星形胶质细胞。为了确定BDE-99发生破坏的位置,我们测试了特定亚类的标记。结果表明,50 μg/L BDE-99显著降低了gnat2(锥体光感受器标记物0.62倍,p < 0.05)和vsx1(双极细胞0.77倍,p < 0.05)的相对mRNA表达。在BDE-99暴露后,锥形光感受器是视网膜中受影响最大的细胞亚类。

图2 BDE-99致视网膜损伤。斑马鱼幼鱼视网膜的(A) H&E染色(bar = 2 μm)。简称:PCL、感光细胞层;INL、内核层、IPL、内丛状层;以及GCL、神经节细胞层。(B)视网膜每层厚度的统计分析。(C)左图,视网膜TUNEL染色(bar = 5 μm)。TUNEL阳性细胞用亮绿色荧光染色。右图,染色区域的统计分析。(D)BDE-99暴露后视网膜神经细胞标记物的变化。误差条用SEM表示。*表示p < 0.05,**表示p < 0.01,***表示p < 0.001。
BDE-99改变的光感受器模式类似于T3的作用
斑马鱼具有5种感光细胞,每种细胞特异性表达1 ~ 4种不同的视蛋白。通常,视觉视蛋白的基因表达谱被用作光感受器模式的反映。在这里,我们测量了6个锥状视蛋白,包括opn1sw1、opn1sw2、opn1mw1、opn1mw2、opn1lw1、opn1lw2(极低表达的opn1mw3和opn1mw4除外)和1个杆状视蛋白(视紫质,即rho)。BDE-99暴露对除最长波长敏感的视蛋白opn1lw1外的所有视蛋白均有显著的抑制作用(图3A)。使用我们改进的多色OKR测试,我们发现暴露的幼虫对绿色和蓝光的眼跳反应下降(图3B)。有趣的是,BDE-99改变的模式类似于TH T3(图3C,D)。T3对锥体视蛋白表达的影响表现出与BDE-99完全相同的模式(图3A),但T3不影响视紫红质的表达。
THs参与了视觉的发育和功能。特别是T3强烈引导视网膜祖细胞分化为LW锥细胞,并诱导opn1lw1的表达。暴露于20 nM的T3使opn1lw1的表达显著上调约12倍,而其他锥体视蛋白的表达从0.28倍降低到0.56倍。与锥体视蛋白表达一致,t3处理的斑马鱼幼虫对短时间和MW光谱刺激表现出抑制反应(图3B)。同时,我们还检测了BDE-99对TH信号通路相关基因的影响。BDE-99的μg/L显著上调了参与T4脱碘到T3的酶dio2的表达,并轻微下调了thrb的表达,证实了TH信号的稳态被破坏(图3E)。

图3 BDE-99暴露影响了幼虫的光感受器模式、视觉引导行为和TH信号传导。(A)BDE-99暴露后视蛋白表达的变化。(B) BDE-99暴露后斑马鱼幼鱼的OKR。(C,D)T3的作用与BDE-99非常相似。(E)BDE-99暴露后,TH信号的部分基因发生了改变。误差条用SEM表示。*表示p < 0.05,**表示p < 0.01,***表示p < 0.001。
TH信号通路不足以解释BDE-99的作用
为了进一步验证BDE-99对光感受器模式的影响是否与T3类似,我们在实验系统中引入了TRA1。TRA1通过竞争性地与THRα和THRβ结合来拮抗thr介导的信号转导。因此,它应该挽救BDE-99暴露引起的相关变化。TRA1与BDE-99共处理后,三个锥体视蛋白和视紫质的表达有恢复的趋势,但对opn1mw1、opn1mw2和opn1sw2没有影响(图4A;支持信息图S6)。结果表明,BDE-99的作用还涉及除THs外的一些潜在因素。例如,它们可能包括转录因子67,这是斑马鱼中分子量视蛋白的主要诱导剂。31在OKR试验中,在被BDE-99显著抑制的两组中,TRA1的引入增加了幼虫的眼跳反应(图4B)。然而,与最初的BDE-99仅暴露于绿色(MW)光下相比,TRA1增加的反应没有统计学意义。此外,分子对接的结果表明,BDE-99与THRβ的结合态度并不类似于T3,但更像是RA,一种被怀疑是SW视蛋白的抑制剂(图4C)。
考虑到six7在MW视蛋白中的作用,我们也研究了six7表达的可能变化。虽然BDE-99和T3暴露导致sie7的表达降低,但BDE-99的作用机制可能独立于TH信号,因为TRA1几乎没有改变BDE-99的影响(图4D)。

图4 TRA1未能完全挽救BDE-99引起的光感受模式。(A)TRA1对视蛋白表达水平的影响。星号表示与BDE-99暴露量相比有统计学意义。TRA1对斑马鱼幼虫OKRs的(B)影响。阴影代表了对照组中幼虫的眼跳运动。与T3相比,BDE-99与THRβ的(C)结合位点更接近于全反式RA。(D)BDE-99、T3和TRA1对转录因子six7的影响,这是分子量视蛋白的关键调控因子。*表示p < 0.05,**表示p < 0.01,***表示p < 0.001。
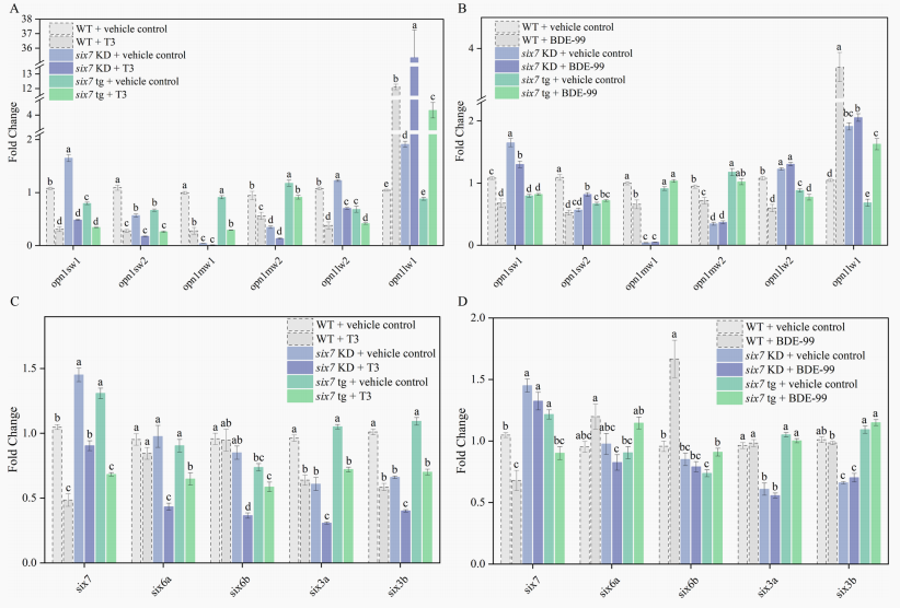
six7主导了BDE-99的受干扰的光感受器模式
为了揭示six7和THs在BDE-99诱导的光感受器模式中的作用,我们调节了斑马鱼幼鱼中six7的表达,构建了敲除(six7 KD)和过表达转基因(six7 tg)突变模型,由于注射质粒剂量低,six7 tg模型的效果一般较温和。以T3为阳性对照。在图5A中,与WT斑马鱼相比,T3处理使six7 KD突变体中opn1lw1的表达显著增加了35倍,这强烈表明six7的存在抑制了T3的原始作用。BDE-99与6个7KD模型暴露后,在LW/MW视蛋白和SW视蛋白之间表现出不同的结果(图5B)。BDE-99暴露后,SW视蛋白仍发生变化,表明SW视蛋白的变化独立于six7。此外,在所有模型中,T3均显著抑制了除opn1lw1外的所有其他锥体视蛋白,而BDE-99则部分抵消了six7 tg模型中six7过表达的影响。
考虑到Six亚家族(包括six3、6和7)之间的亲缘关系,进一步研究了暴露后这些基因的变化。我们的敲除操作是转录后的;因此,在six KD模型中six的上调对于某种补偿机制是合理的。过表达six导致six轻微(但显著)上调,这可能是注射质粒含量低的原因(图5C)。简而言之,BDE-99和T3对six3亚家族的影响存在明显的差异(图5C,D)。six7表达的缺失并没有改变斑马鱼six6的表达;然而,BDE-99暴露强烈刺激了six6b的表达。有趣的是,在WT模型中,T3暴露几乎抑制了除两个six6个基因外的所有six成员。six6b可能是在MW视蛋白调控中具有six7功能的辅助因子。six7 tg模型中MW视蛋白水平不变可能与six6b表达下调有关(图5A,C)。

图5 six7调节对视觉视蛋白和six3亚家族的影响。(A)用T3处理的six7个突变体的视觉视蛋白的模式。(B)用BDE-99处理的six7个突变体的视觉视蛋白的模式。(C)用T3处理的six7个突变体中six3亚家族的模式。(D)用BDE-99处理的six7个突变体中six3亚家族的模式。统计学意义是用用不同的字母标记的列来表示的。

图6 BDE-99致视觉毒性不良结局途径的框架示意图。
讨论
该视觉系统已被报道为环境污染物的一个新目标,如多环芳烃,双酚、多溴二苯醚、和其他替代阻燃剂。在视觉系统的各种组成部分中,具有相应视蛋白的光感受器对外来生物暴露最为敏感。在本研究中,5和50 μg/L BDE-99处理组均观察到视蛋白的破坏,BDE-99对opn1lw1的诱导作用呈剂量依赖性(图3A, S2)。视蛋白是一组具有不同光谱敏感性的感光蛋白,视蛋白的遗传缺陷往往会导致相应的色盲/色弱。有趣的是,我们改进的OKR测试显示,低剂量或高剂量BDE-99处理的幼虫对蓝绿光刺激的眼跳反应下降(图3B),这与BDE-99诱导的SW和MW视蛋白的下调相一致。然而,对红光刺激的眼跳反应保持不变(图3B),我们认为原因可能是斑马鱼LW视蛋白的峰值光谱吸光度远短于红光的波长。在现有的研究中,不同的PBDE同系物表现出了以不同方式干扰斑马鱼幼虫的光感受器模式的潜力。在用BDE-47处理的幼虫中也发现了类似的光感受器和色觉的破坏模式。它们的结果之间的差异在于,BDE-47易受SW视蛋白的影响,而幼虫OKR对绿光的反应相对较温和。然而,BDE-209对斑马鱼幼虫视蛋白的作用完全不同,即低剂量刺激了各种视蛋白的表达,而高剂量则导致了相反的变化趋势。考虑到BDE-209微妙的微妙生物利用度,我们估计BDE-209对斑马鱼光感受器模式的影响可能不是主要影响。
核受体经常参与污染物引起的视觉损伤。例如,2-乙基己基二苯磷酸通过阻断RA受体和视黄醛X受体导致日本青鳉的眼睛畸形和视力障碍。芳基烃受体的激活也被怀疑与视力障碍有关。然而,55多溴二苯醚因其类似于THs的毒理学作用模式而众所周知,这已被许多先前的研究证实。由于通过TH信号的THs和/或THRs在光感受器模式和色觉形成中是必不可少的,BDE-99暴露的后果可能是由于TH信号的中断,而BDE-99和T3暴露之间的相似性似乎证实了这一假设(图3A,C)。然而,除了TH信号外,其他因素可能参与了BDE-99的视觉毒性,因为TRA1拮抗并不能完全恢复光感受器模式的干扰。我们的分子对接分析也表明,BDE-99和THRβ联合使用不太可能作为T3对THRβ产生强有力的激动作用,USEPA Comptox数据库和之前的一些研究也提供了类似的结果。
作为斑马鱼分子量视蛋白的主要调节因子,six7在本研究中对光感受器模式表现出更深远的影响。BDE-99引起的six7的下调不能被TRA1挽救(图4D),说明six7可能是TRA1不能恢复BDE-99诱导的MW视蛋白水平的原因。WT斑马鱼中six7的存在可以将T3暴露后opn1lw1(TH信号标记)的表达量压缩到six7 KD模型中的1/3(图5A),过表达six7可以进一步抑制T3对opn1lw1的诱导作用。结合上述结果,我们发现TH信号(作为LW锥的诱导剂)和six7(作为MW锥的诱导剂)相互作用,以平衡不同种类的光感受器。此外,与BDE-99对WT斑马鱼的明显影响相比,six7的沉默完全降低了BDE-99对MW和LW视蛋白的影响(图5B)。因此,BDE-99诱导opn1lw1的关键是six7。BDE-99暴露减轻了被six7抑制的TH信号,而未连接的TH信号最终导致了T3类似物的结果。
光感受器模式是一个高度复杂的、多步骤的过程,其中各种调节因子在不同的阶段发挥作用。在其最后阶段(锥体分化),脊椎动物中最可识别的因子是THs/THRs,它导致了SW锥体和LW/MW锥体之间的LW偏好。对于灵长类动物和许多非哺乳动物脊椎动物,LW和MW锥的细分需要额外的调节器。到目前为止,只有少数基因,例如硬骨鱼基因six7,被确定为激活MW锥细胞的驱动因素,这表明我们对人类和大多数脊椎动物中这种作用的了解相当有限。这些因素之间的相互作用在很大程度上也是未知的。有限的证据表明,补充TH可以抑制WT斑马鱼中six7的表达,而在甲状旁腺斑马鱼中six7的表达没有变化。通过突变体模型,我们认为它们之间的关系确实是双向调控的。本研究中SW视蛋白的变化,特别是opn1sw2,包含了更多未明确的原因。之前的研究表明,opn1sw2的表达与six7有关,与我们的图4A和5A,B一致。然而,BDE-99对opn1sw2的影响可能是独立的,因为在six7 KD模型中,BDE-99可以刺激opn1sw2。与LW和MW视蛋白相比,SW视蛋白的隶属关系相对较远;它们受到不同调节因子之间的相互作用的影响。例如,硬骨鱼中的生长因子gdf6a与RA的信号通路。据报道,DE- 71会破坏斑马鱼各种组织中RA的稳态,从而对视觉系统产生有害影响。BDE-99作为DE-71的主要成分,是否能够同时影响多个靶点,第三个靶点是否是RA信号?为了更好地描述机制事件和不良结局之间的联系,本文提出了一个不良结局途径的框架,作为BDE-99暴露于视力障碍的毒理学过程的总结(图6)。综上所述,我们发现BDE-99暴露于斑马鱼不仅引起视网膜形态变化和细胞凋亡,而且还干扰视蛋白表达和与色觉相关的异常行为表型。尽管BDE-99对光感受器模式的外部结果与典型的TH T3高度相似,但THR拮抗剂TRA1未能完全恢复BDE-99诱导的影响,特别是对MW视蛋白表达的影响。通过调节MW视蛋白诱导剂six7的表达,我们发现了six7基因在抑制TH信号通路中的新作用。由于BDE-99对six7 KD模型的LW和MW视蛋白影响较小,可以得出BDE-99主要通过six7而不是TH信号破坏斑马鱼幼虫的光感受器模式。这些结果可能为揭示多溴二苯醚的毒理学机制和光感受器模式中调节因子之间的相互作用提供了有用的线索。
基金:国家自然科学基金资助项目(21876135、22036005、92043302)。
详细网址:https://doi.org/10.1021/acs.est.1c08914
注:因文章篇幅有限,所有相关引用文献,以及补充图、表可以点击至原文查阅。